mp-646920/K5As3Pb3/anharm

Harmonic properties

../../_images/fig_bandos_pr5593.png

(a) Phonon dispersion with participation ratio and DOS

../../_images/fig_thermo5593.png

(b) Thermodynamic properties

Grüneisen parameters

../../_images/fig_gru_all2340.png

(a) Grüneisen parameters

../../_images/fig_gruneisen2340.png

(b) Phonon dispersion with Grüneisen parameters

Thermal conductivity

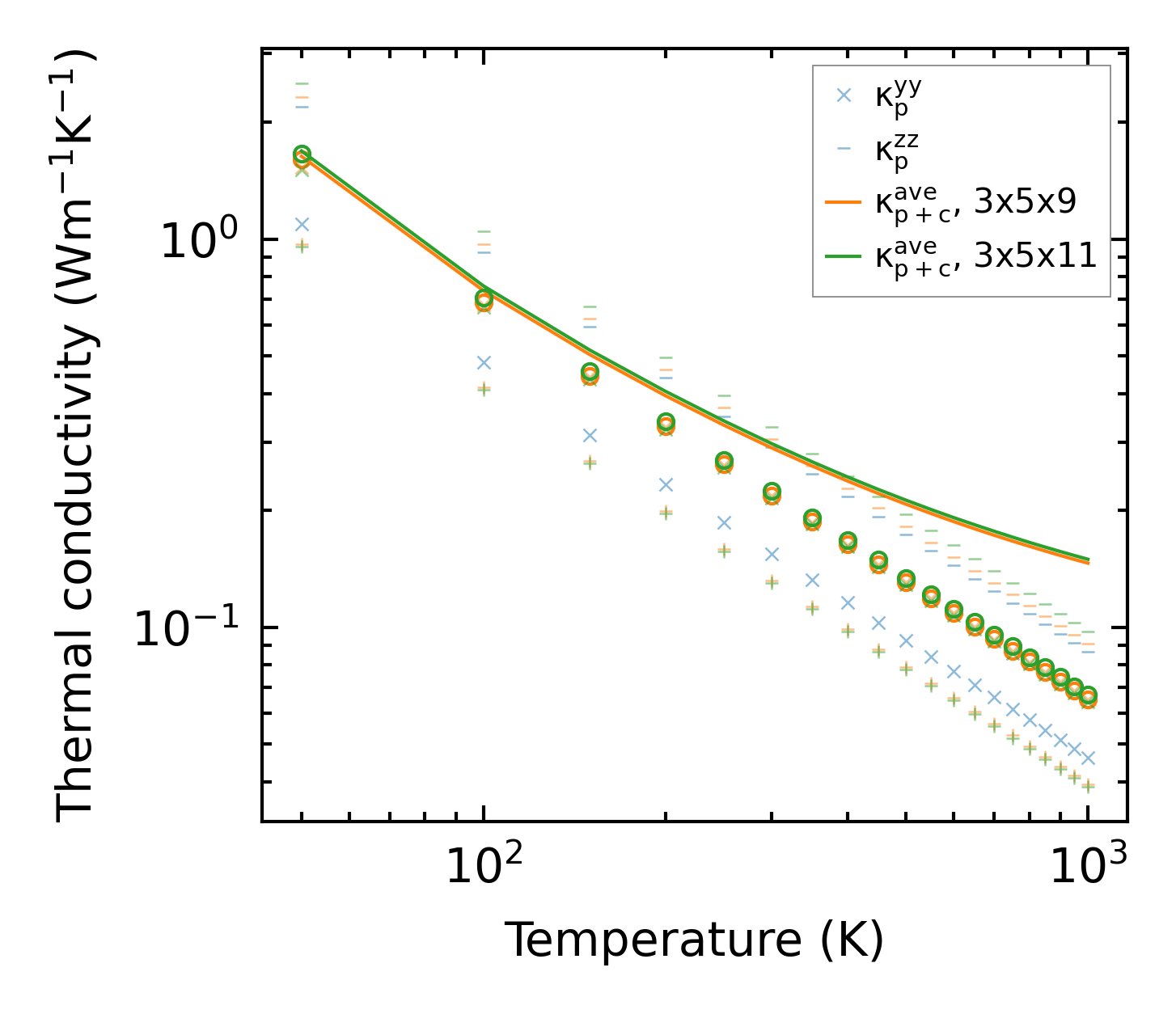
3-phonon (LASSO) — q-mesh: 3x5x11, supercell: 1x1x2

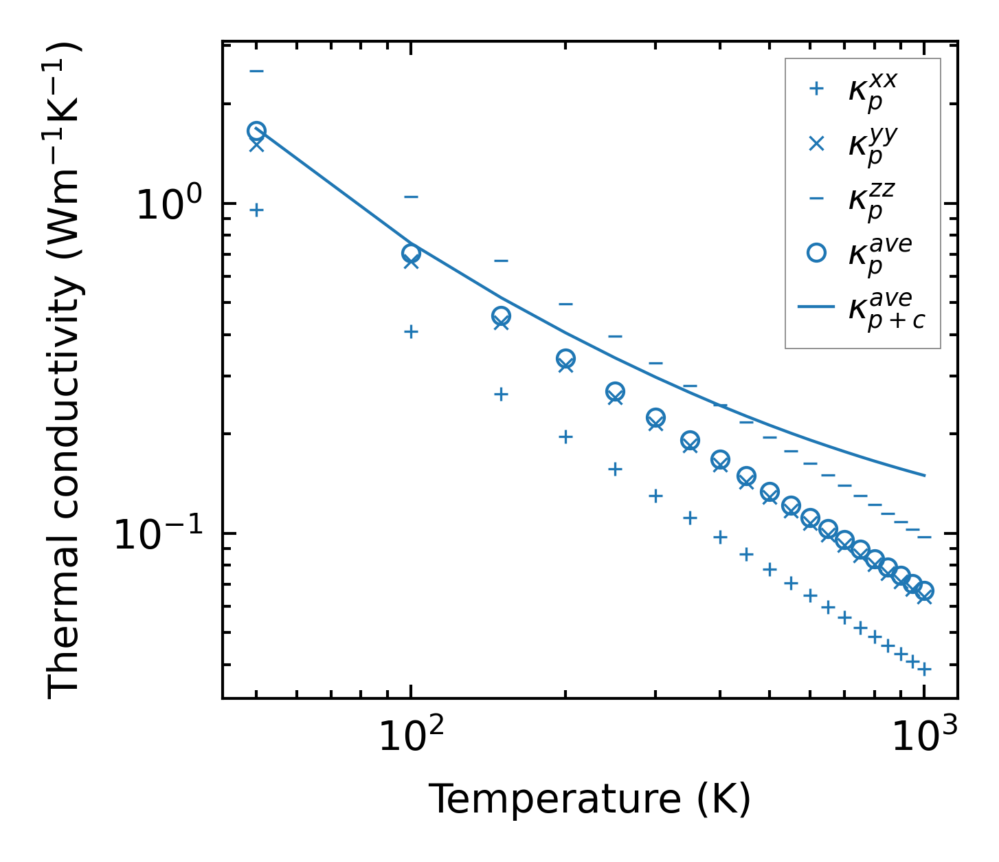
../../_images/fig_kappa4471.png

(a) Temperature-dependent lattice thermal conductivity

../../_images/fig_kappa_vs_grain_size2370.png

(b) Peierls lattice thermal conductivity w.r.t grain size

Phonon lifetime and scattering rates

../../_images/fig_lifetime2325.png

(a) Phonon lifetime due to phonon-phonon scattering

../../_images/fig_scat_rates2324.png

(b) Phonon scattering rates

Cumulative and spectral thermal conductivity

../../_images/fig_cumu_frequency2325.png

(a) Spectral and cumulative thermal conductivity w.r.t frequency

../../_images/fig_cumu_mfp2325.png

(b) Spectral and cumulative thermal conductivity w.r.t MFP

Force constants

../../_images/fig_fc25394.png

(a) Force constants w.r.t atomic distance

Summary

../../_images/fig_kappa4472.png

(a) Temperature-dependent lattice thermal conductivity

../../_images/fig_times10079.png

(b) Computation time