mp-646007/Cs2Tb6Te7N2/anharm

Equation of state

../../_images/fig_bm2720.png

(a) Equation of state

Harmonic properties

../../_images/fig_bandos_pr5589.png

(a) Phonon dispersion with participation ratio and DOS

../../_images/fig_bandos7997.png

(b) Phonon dispersion and DOS

../../_images/fig_thermo5589.png

(c) Thermodynamic properties

Grüneisen parameters

../../_images/fig_gru_all2336.png

(a) Grüneisen parameters

../../_images/fig_gruneisen2336.png

(b) Phonon dispersion with Grüneisen parameters

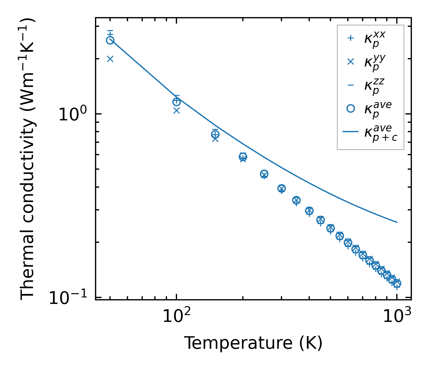
Thermal conductivity

3-phonon (LASSO), supercell 1x3x2 — q-mesh: 8x8x9, supercell: 1x3x2

../../_images/fig_kappa4465.png

(a) Temperature-dependent lattice thermal conductivity

../../_images/fig_kappa_vs_grain_size2366.png

(b) Peierls lattice thermal conductivity w.r.t grain size

Phonon lifetime and scattering rates

../../_images/fig_lifetime2321.png

(a) Phonon lifetime due to phonon-phonon scattering

../../_images/fig_scat_rates2320.png

(b) Phonon scattering rates

Cumulative and spectral thermal conductivity

../../_images/fig_cumu_frequency2321.png

(a) Spectral and cumulative thermal conductivity w.r.t frequency

../../_images/fig_cumu_mfp2321.png

(b) Spectral and cumulative thermal conductivity w.r.t MFP

Force constants

../../_images/fig_fc25390.png

(a) Force constants w.r.t atomic distance

Summary

../../_images/fig_times10074.png

(a) Computation time