mp-646102-2/Al3Bi5Cl12/anharm

Equation of state

../../_images/fig_bm2721.png

(a) Equation of state

Harmonic properties

../../_images/fig_bandos_pr5590.png

(a) Phonon dispersion with participation ratio and DOS

../../_images/fig_bandos7999.png

(b) Phonon dispersion and DOS

../../_images/fig_thermo5590.png

(c) Thermodynamic properties

Grüneisen parameters

../../_images/fig_gru_all2337.png

(a) Grüneisen parameters

../../_images/fig_gruneisen2337.png

(b) Phonon dispersion with Grüneisen parameters

Thermal conductivity

3-phonon (LASSO), supercell 2x2x1 — q-mesh: 6x6x6, supercell: 2x2x1

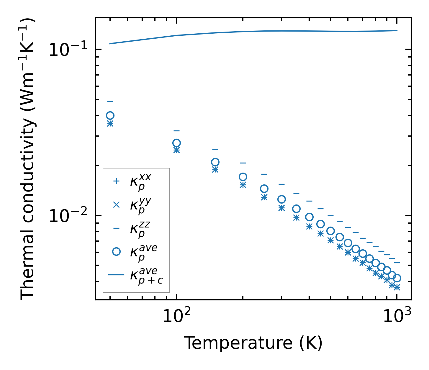
../../_images/fig_kappa4466.png

(a) Temperature-dependent lattice thermal conductivity

../../_images/fig_kappa_vs_grain_size2367.png

(b) Peierls lattice thermal conductivity w.r.t grain size

Phonon lifetime and scattering rates

../../_images/fig_lifetime2322.png

(a) Phonon lifetime due to phonon-phonon scattering

../../_images/fig_scat_rates2321.png

(b) Phonon scattering rates

Cumulative and spectral thermal conductivity

../../_images/fig_cumu_frequency2322.png

(a) Spectral and cumulative thermal conductivity w.r.t frequency

../../_images/fig_cumu_mfp2322.png

(b) Spectral and cumulative thermal conductivity w.r.t MFP

Force constants

../../_images/fig_fc25391.png

(a) Force constants w.r.t atomic distance

Summary

../../_images/fig_times10076.png

(a) Computation time