mp-646297/Hg4Pb2N6O19/anharm

Harmonic properties

../../_images/fig_bandos_pr5591.png

(a) Phonon dispersion with participation ratio and DOS

../../_images/fig_thermo5591.png

(b) Thermodynamic properties

Grüneisen parameters

../../_images/fig_gru_all2338.png

(a) Grüneisen parameters

../../_images/fig_gruneisen2338.png

(b) Phonon dispersion with Grüneisen parameters

Thermal conductivity

3-phonon (LASSO) — q-mesh: 7x7x7, supercell: 1x1x1

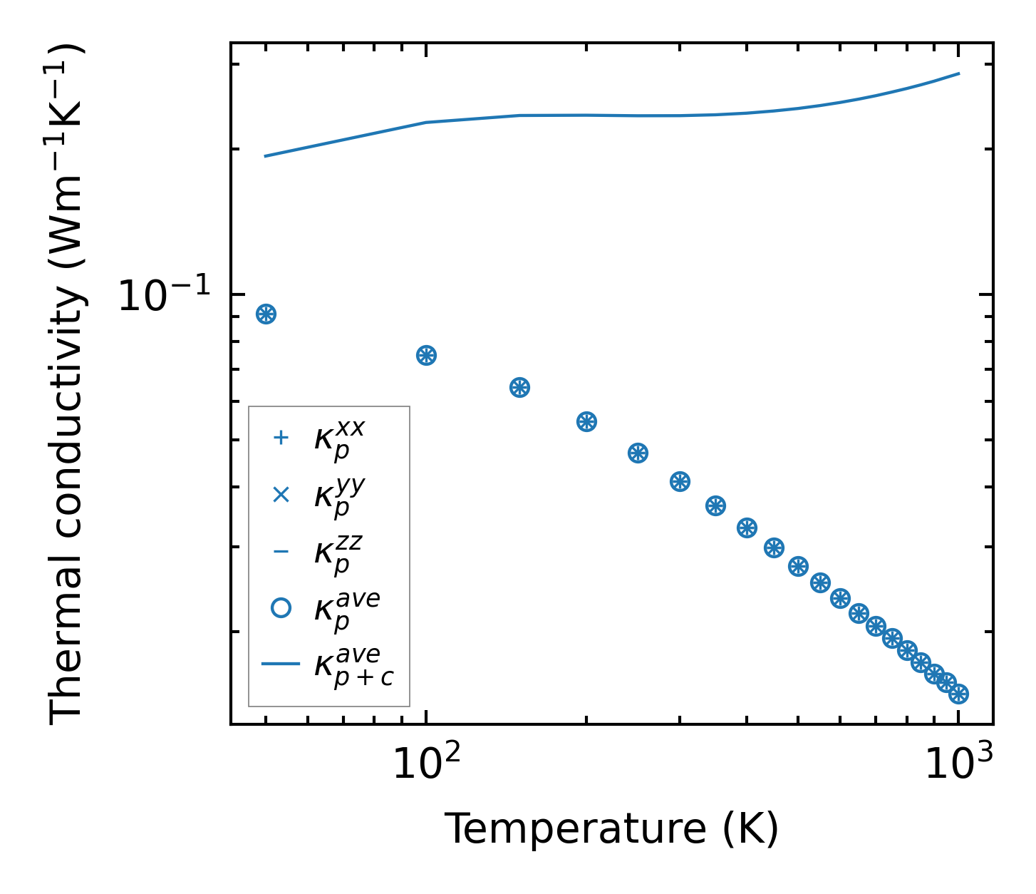
../../_images/fig_kappa4467.png

(a) Temperature-dependent lattice thermal conductivity

../../_images/fig_kappa_vs_grain_size2368.png

(b) Peierls lattice thermal conductivity w.r.t grain size

Phonon lifetime and scattering rates

../../_images/fig_lifetime2323.png

(a) Phonon lifetime due to phonon-phonon scattering

../../_images/fig_scat_rates2322.png

(b) Phonon scattering rates

Cumulative and spectral thermal conductivity

../../_images/fig_cumu_frequency2323.png

(a) Spectral and cumulative thermal conductivity w.r.t frequency

../../_images/fig_cumu_mfp2323.png

(b) Spectral and cumulative thermal conductivity w.r.t MFP

Force constants

../../_images/fig_fc25392.png

(a) Force constants w.r.t atomic distance

Summary

../../_images/fig_kappa4468.png

(a) Temperature-dependent lattice thermal conductivity

../../_images/fig_times10077.png

(b) Computation time