mp-634464/K3B12H12Br/harm

Harmonic properties

../../_images/fig_bandos_pr5658.png

(a) Phonon dispersion with participation ratio and DOS

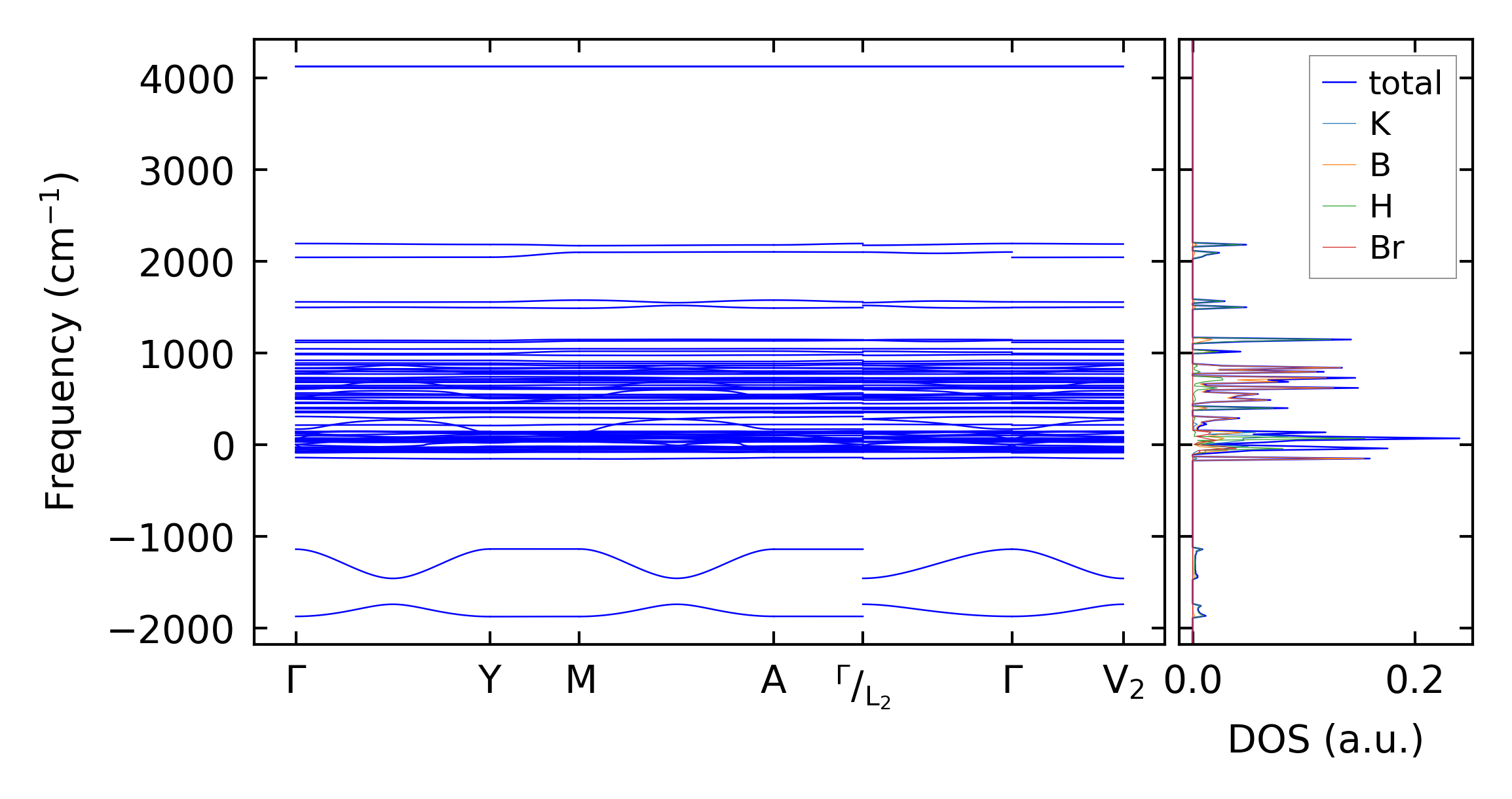
../../_images/fig_bandos8136.png

(b) Phonon dispersion and DOS

../../_images/fig_thermo5658.png

(c) Thermodynamic properties

Force constants

../../_images/fig_fc25457.png

(a) Force constants w.r.t atomic distance

Summary

../../_images/fig_times10228.png

(a) Computation time