mp-634464-2/K3B12H12Br/harm

Equation of state

../../_images/fig_bm2796.png

(a) Equation of state

Harmonic properties

../../_images/fig_bandos_pr5659.png

(a) Phonon dispersion with participation ratio and DOS

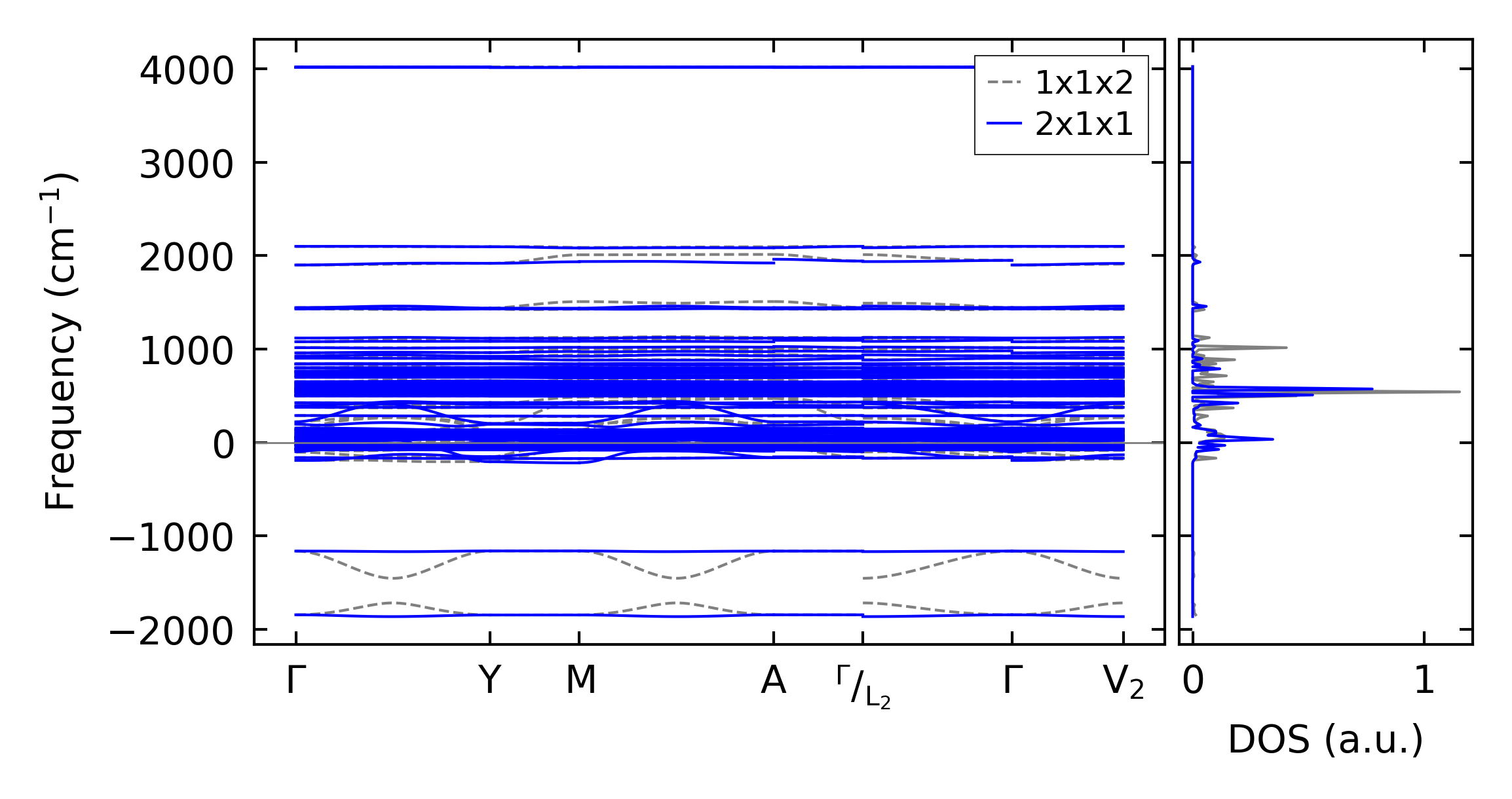
../../_images/fig_bandos8137.png

(b) Phonon dispersion and DOS

../../_images/fig_thermo5659.png

(c) Thermodynamic properties

Force constants

../../_images/fig_fc25458.png

(a) Force constants w.r.t atomic distance

Summary

../../_images/fig_times10229.png

(a) Computation time