mp-634446-2/CsAlH8N4/anharm

Equation of state

../../_images/fig_bm2795.png

(a) Equation of state

Harmonic properties

../../_images/fig_bandos_pr5657.png

(a) Phonon dispersion with participation ratio and DOS

../../_images/fig_bandos8135.png

(b) Phonon dispersion and DOS

../../_images/fig_thermo5657.png

(c) Thermodynamic properties

Grüneisen parameters

../../_images/fig_gru_all2359.png

(a) Grüneisen parameters

../../_images/fig_gruneisen2359.png

(b) Phonon dispersion with Grüneisen parameters

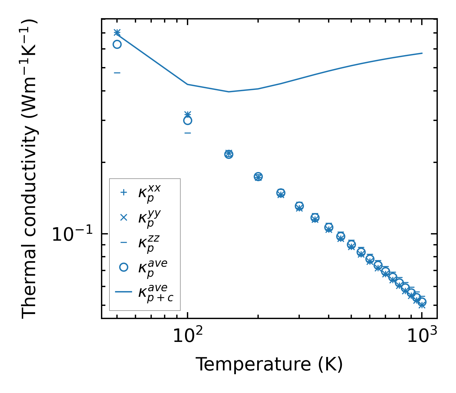
Thermal conductivity

3-phonon (LASSO), supercell 2x2x2 — q-mesh: 9x9x13, supercell: 2x2x2

../../_images/fig_kappa4504.png

(a) Temperature-dependent lattice thermal conductivity

../../_images/fig_kappa_vs_grain_size2390.png

(b) Peierls lattice thermal conductivity w.r.t grain size

Phonon lifetime and scattering rates

../../_images/fig_lifetime2344.png

(a) Phonon lifetime due to phonon-phonon scattering

../../_images/fig_scat_rates2343.png

(b) Phonon scattering rates

Cumulative and spectral thermal conductivity

../../_images/fig_cumu_frequency2344.png

(a) Spectral and cumulative thermal conductivity w.r.t frequency

../../_images/fig_cumu_mfp2344.png

(b) Spectral and cumulative thermal conductivity w.r.t MFP

Force constants

../../_images/fig_fc25456.png

(a) Force constants w.r.t atomic distance

Summary

../../_images/fig_times10227.png

(a) Computation time