mp-634326-2/GaHO2/anharm

Equation of state

../../_images/fig_bm2787.png

(a) Equation of state

Harmonic properties

../../_images/fig_bandos_pr5650.png

(a) Phonon dispersion with participation ratio and DOS

../../_images/fig_thermo5650.png

(b) Thermodynamic properties

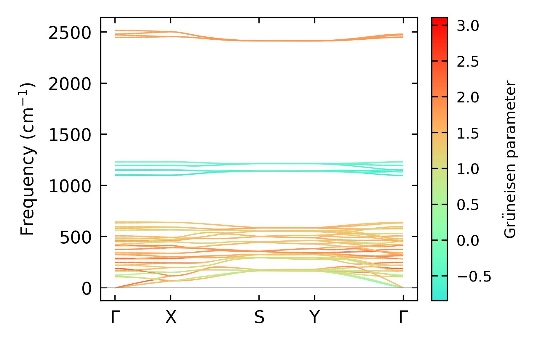
Grüneisen parameters

../../_images/fig_gru_all2358.png

(a) Grüneisen parameters

../../_images/fig_gruneisen2358.png

(b) Phonon dispersion with Grüneisen parameters

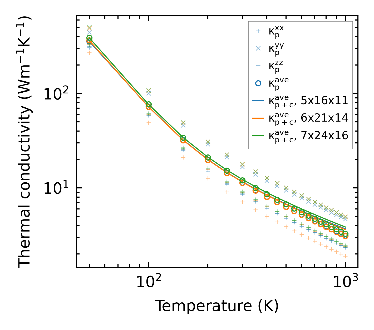
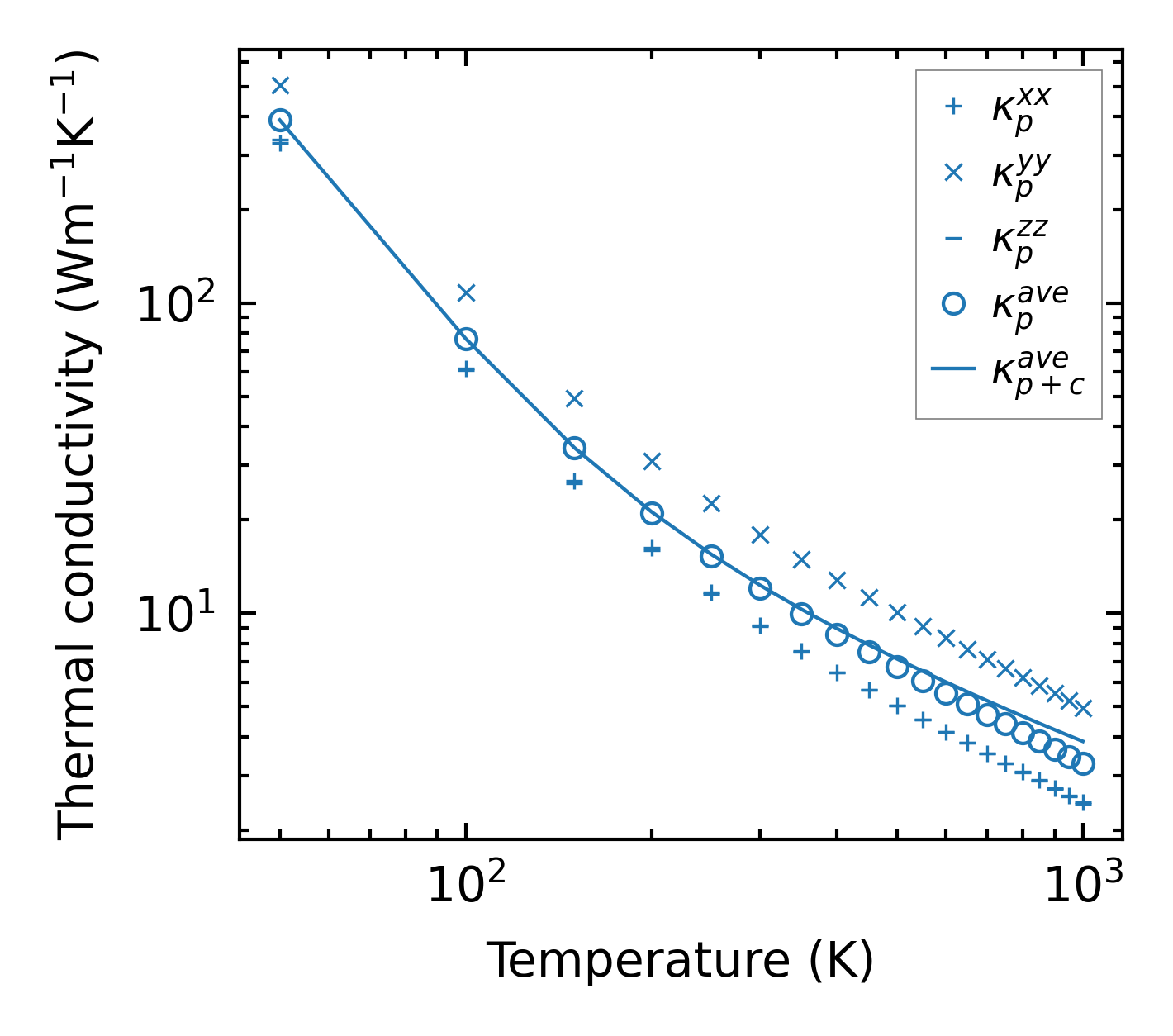
Thermal conductivity

3-phonon (LASSO) — q-mesh: 7x24x16, supercell: 1x4x2

../../_images/fig_kappa4502.png

(a) Temperature-dependent lattice thermal conductivity

../../_images/fig_kappa_vs_grain_size2389.png

(b) Peierls lattice thermal conductivity w.r.t grain size

Phonon lifetime and scattering rates

../../_images/fig_lifetime2343.png

(a) Phonon lifetime due to phonon-phonon scattering

../../_images/fig_scat_rates2342.png

(b) Phonon scattering rates

Cumulative and spectral thermal conductivity

../../_images/fig_cumu_frequency2343.png

(a) Spectral and cumulative thermal conductivity w.r.t frequency

../../_images/fig_cumu_mfp2343.png

(b) Spectral and cumulative thermal conductivity w.r.t MFP

Force constants

../../_images/fig_fc25449.png

(a) Force constants w.r.t atomic distance

Summary

../../_images/fig_kappa4503.png

(a) Temperature-dependent lattice thermal conductivity

../../_images/fig_times10213.png

(b) Computation time