mp-552857/TbBi2IO4/anharm

Harmonic properties

../../_images/fig_bandos_pr9178.png

(a) Phonon dispersion with participation ratio and DOS

../../_images/fig_thermo9178.png

(b) Thermodynamic properties

Grüneisen parameters

../../_images/fig_gru_all3657.png

(a) Grüneisen parameters

../../_images/fig_gruneisen3657.png

(b) Phonon dispersion with Grüneisen parameters

Thermal conductivity

3-phonon (LASSO) — q-mesh: 18x18x7, supercell: 3x3x2

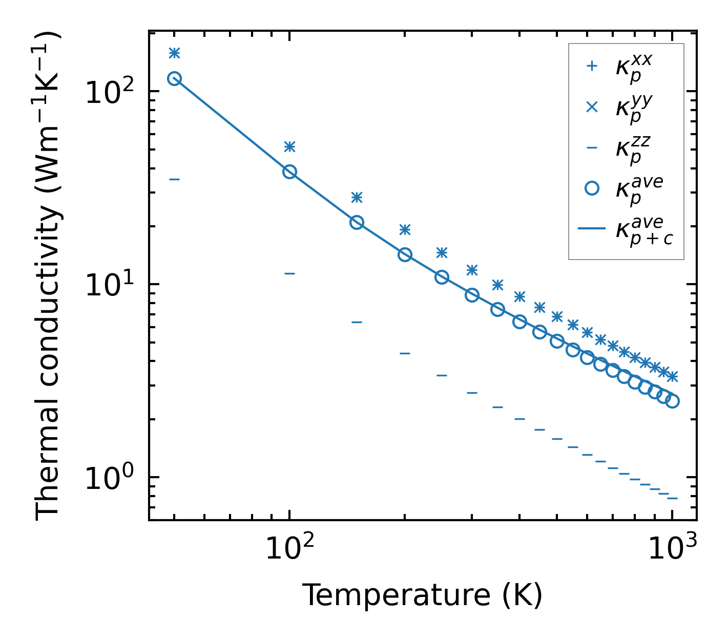
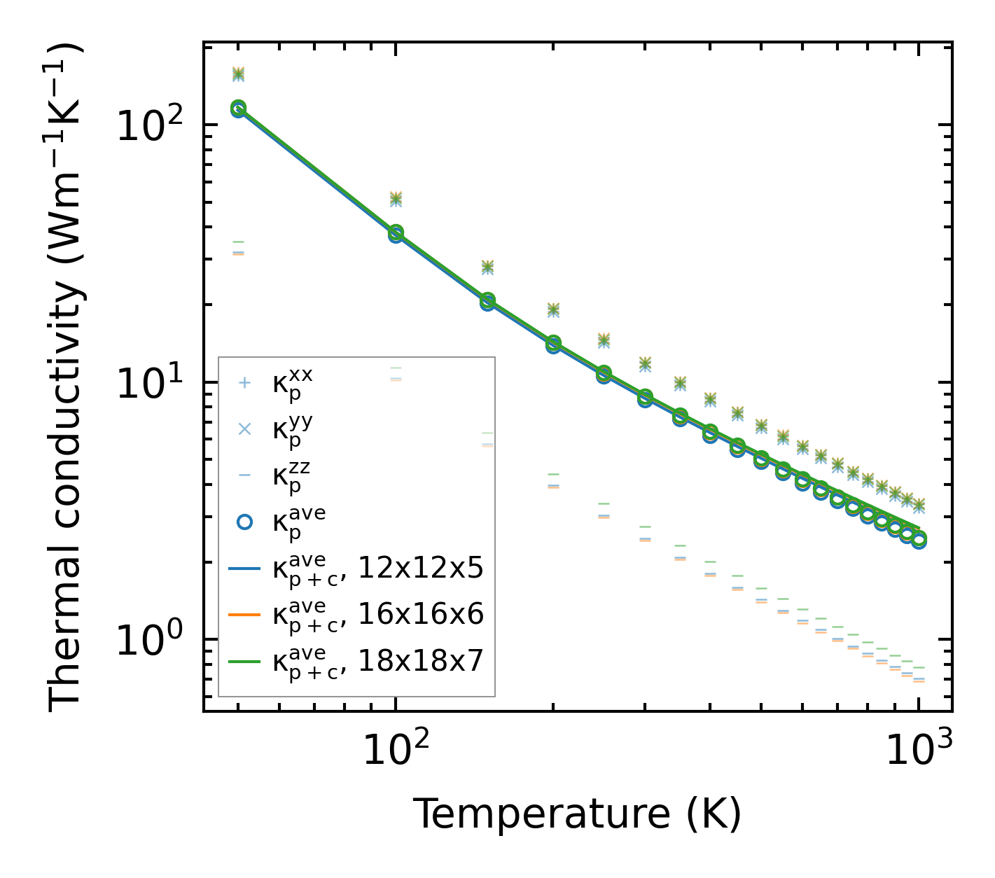
../../_images/fig_kappa6909.png

(a) Temperature-dependent lattice thermal conductivity

../../_images/fig_kappa_vs_grain_size3705.png

(b) Peierls lattice thermal conductivity w.r.t grain size

Phonon lifetime and scattering rates

../../_images/fig_lifetime3623.png

(a) Phonon lifetime due to phonon-phonon scattering

../../_images/fig_scat_rates3622.png

(b) Phonon scattering rates

Cumulative and spectral thermal conductivity

../../_images/fig_cumu_frequency3623.png

(a) Spectral and cumulative thermal conductivity w.r.t frequency

../../_images/fig_cumu_mfp3622.png

(b) Spectral and cumulative thermal conductivity w.r.t MFP

Force constants

../../_images/fig_fc28940.png

(a) Force constants w.r.t atomic distance

Summary

../../_images/fig_kappa6910.png

(a) Temperature-dependent lattice thermal conductivity

../../_images/fig_times16017.png

(b) Computation time