mp-552857-2/TbBi2IO4/anharm

Equation of state

../../_images/fig_bm4615.png

(a) Equation of state

Harmonic properties

../../_images/fig_bandos_pr9179.png

(a) Phonon dispersion with participation ratio and DOS

../../_images/fig_thermo9179.png

(b) Thermodynamic properties

Grüneisen parameters

../../_images/fig_gru_all3658.png

(a) Grüneisen parameters

../../_images/fig_gruneisen3658.png

(b) Phonon dispersion with Grüneisen parameters

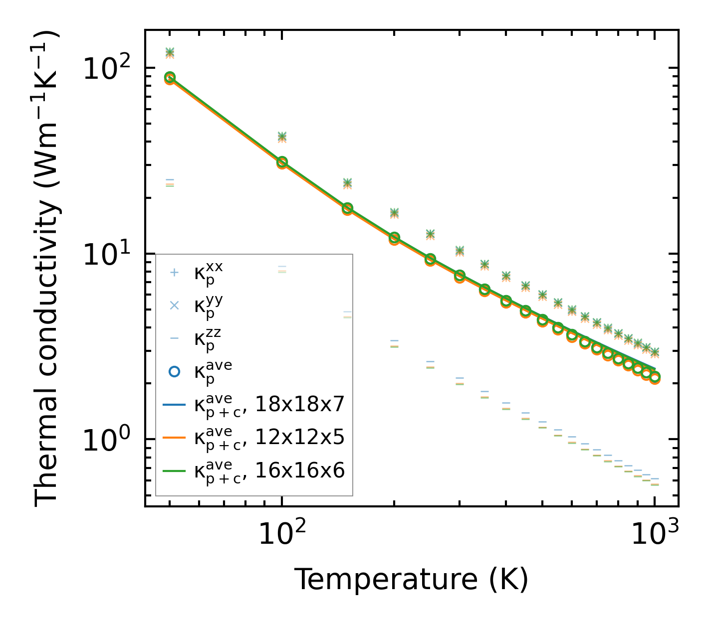
Thermal conductivity

3-phonon (LASSO) — q-mesh: 18x18x7, supercell: 3x3x2

../../_images/fig_kappa6911.png

(a) Temperature-dependent lattice thermal conductivity

../../_images/fig_kappa_vs_grain_size3706.png

(b) Peierls lattice thermal conductivity w.r.t grain size

Phonon lifetime and scattering rates

../../_images/fig_lifetime3624.png

(a) Phonon lifetime due to phonon-phonon scattering

../../_images/fig_scat_rates3623.png

(b) Phonon scattering rates

Cumulative and spectral thermal conductivity

../../_images/fig_cumu_frequency3624.png

(a) Spectral and cumulative thermal conductivity w.r.t frequency

../../_images/fig_cumu_mfp3623.png

(b) Spectral and cumulative thermal conductivity w.r.t MFP

Force constants

../../_images/fig_fc28941.png

(a) Force constants w.r.t atomic distance

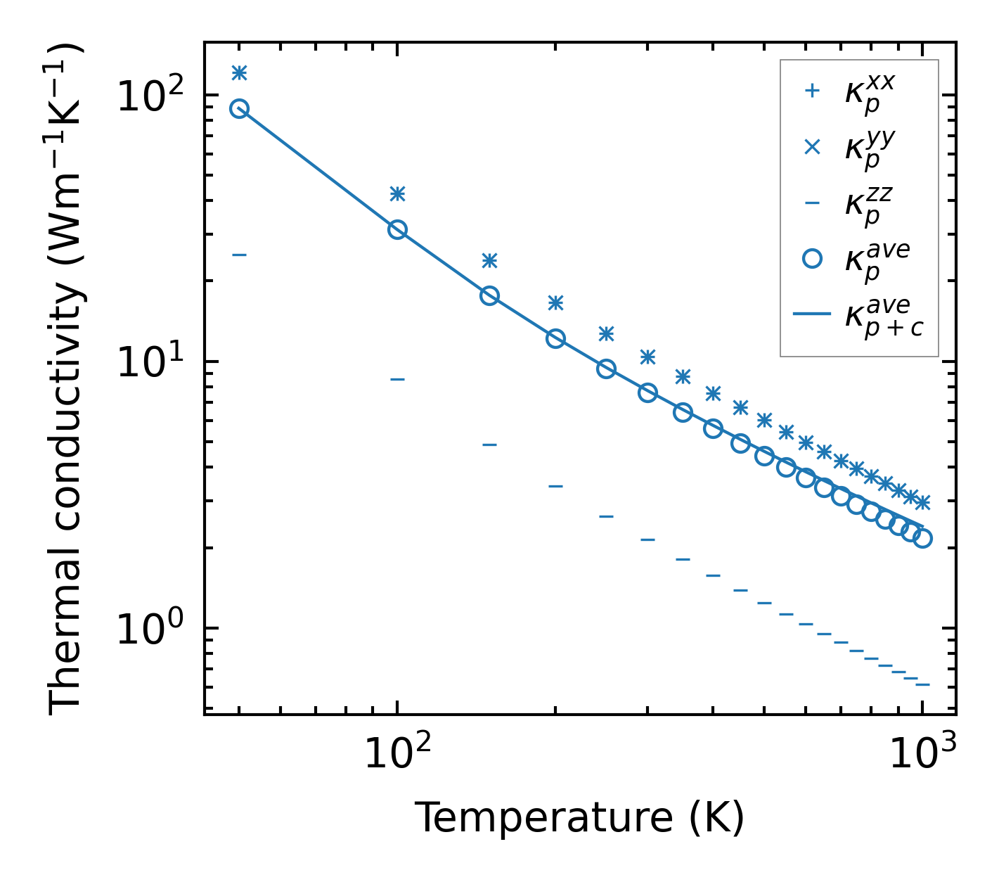
Summary

../../_images/fig_kappa6912.png

(a) Temperature-dependent lattice thermal conductivity

../../_images/fig_times16018.png

(b) Computation time