mp-552056/PbCClO2/anharm

Harmonic properties

../../_images/fig_bandos_pr9155.png

(a) Phonon dispersion with participation ratio and DOS

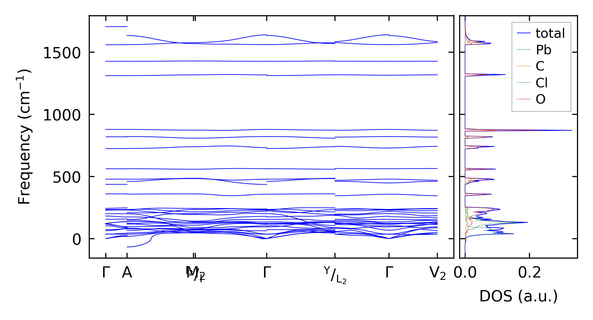
../../_images/fig_bandos12867.png

(b) Phonon dispersion and DOS

../../_images/fig_thermo9155.png

(c) Thermodynamic properties

Grüneisen parameters

../../_images/fig_gru_all3646.png

(a) Grüneisen parameters

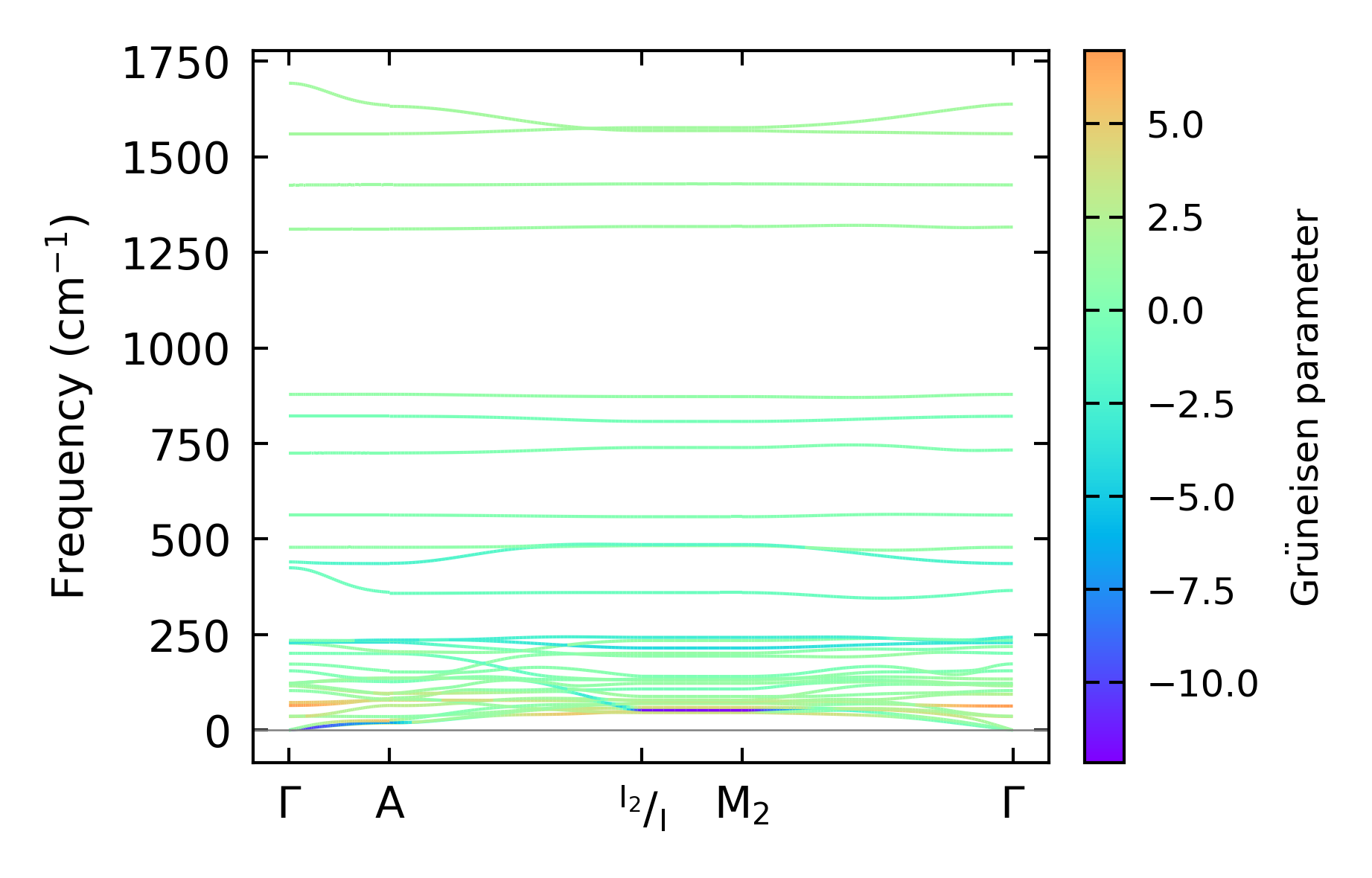
../../_images/fig_gruneisen3646.png

(b) Phonon dispersion with Grüneisen parameters

Thermal conductivity

3-phonon (LASSO) — q-mesh: 17x17x7, supercell: 2x2x1

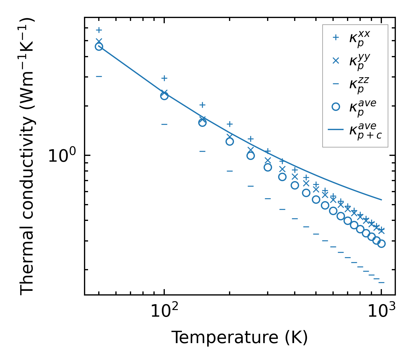
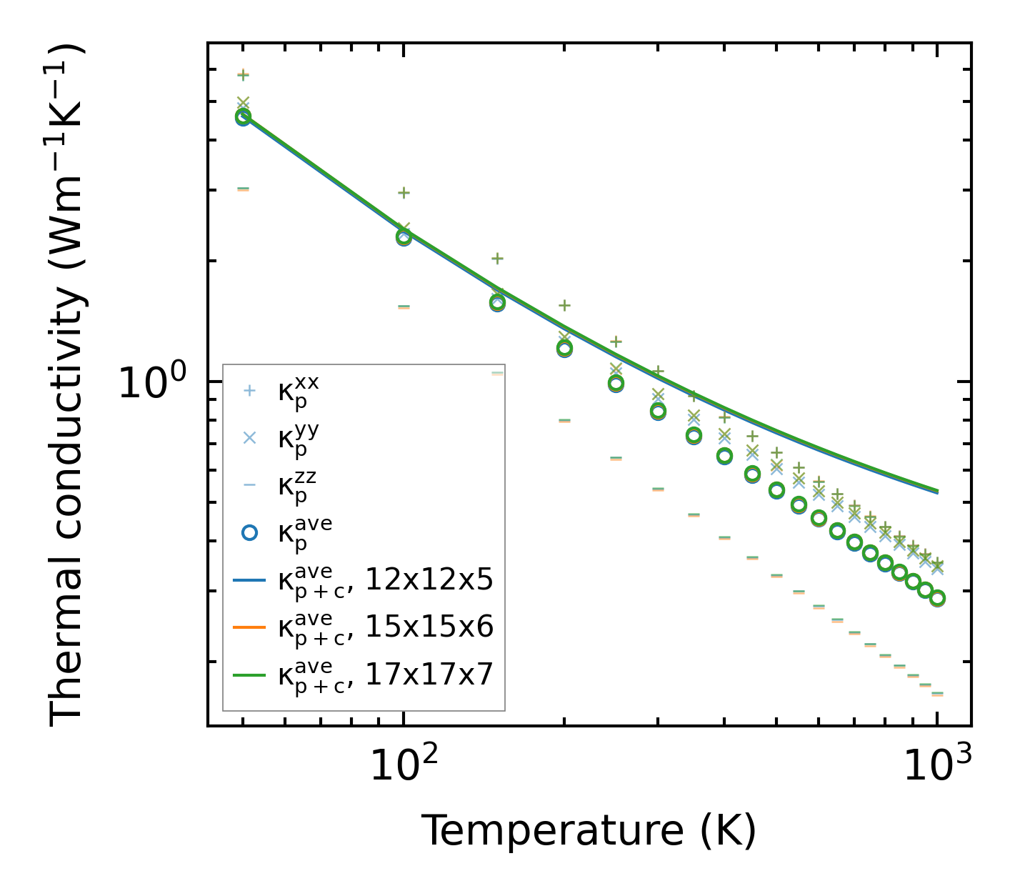
../../_images/fig_kappa6887.png

(a) Temperature-dependent lattice thermal conductivity

../../_images/fig_kappa_vs_grain_size3694.png

(b) Peierls lattice thermal conductivity w.r.t grain size

Phonon lifetime and scattering rates

../../_images/fig_lifetime3612.png

(a) Phonon lifetime due to phonon-phonon scattering

../../_images/fig_scat_rates3611.png

(b) Phonon scattering rates

Cumulative and spectral thermal conductivity

../../_images/fig_cumu_frequency3612.png

(a) Spectral and cumulative thermal conductivity w.r.t frequency

../../_images/fig_cumu_mfp3611.png

(b) Spectral and cumulative thermal conductivity w.r.t MFP

Force constants

../../_images/fig_fc28917.png

(a) Force constants w.r.t atomic distance

Summary

../../_images/fig_kappa6888.png

(a) Temperature-dependent lattice thermal conductivity

../../_images/fig_times15987.png

(b) Computation time