mp-545544-2/Ba2TaBiO6/harm

Equation of state

../../_images/fig_bm4712.png

(a) Equation of state

Harmonic properties

../../_images/fig_bandos_pr9380.png

(a) Phonon dispersion with participation ratio and DOS

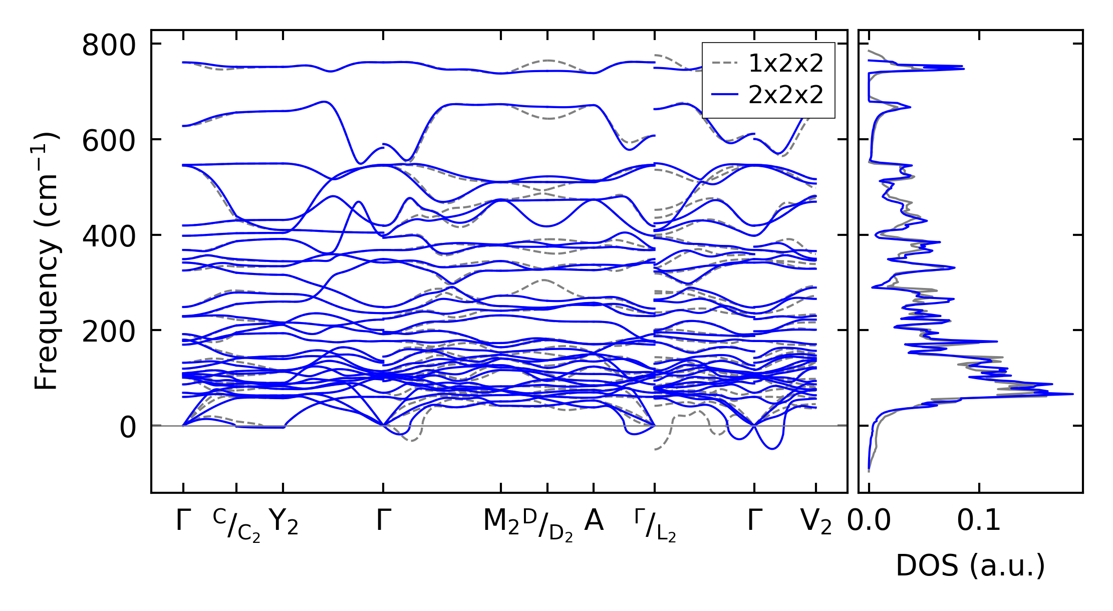
../../_images/fig_bandos13157.png

(b) Phonon dispersion and DOS

../../_images/fig_thermo9380.png

(c) Thermodynamic properties

Force constants

../../_images/fig_fc29142.png

(a) Force constants w.r.t atomic distance

Summary

../../_images/fig_times16348.png

(a) Computation time