mp-545500/BaSbClO2/anharm

Harmonic properties

../../_images/fig_bandos_pr9377.png

(a) Phonon dispersion with participation ratio and DOS

../../_images/fig_thermo9377.png

(b) Thermodynamic properties

Grüneisen parameters

../../_images/fig_gru_all3733.png

(a) Grüneisen parameters

../../_images/fig_gruneisen3733.png

(b) Phonon dispersion with Grüneisen parameters

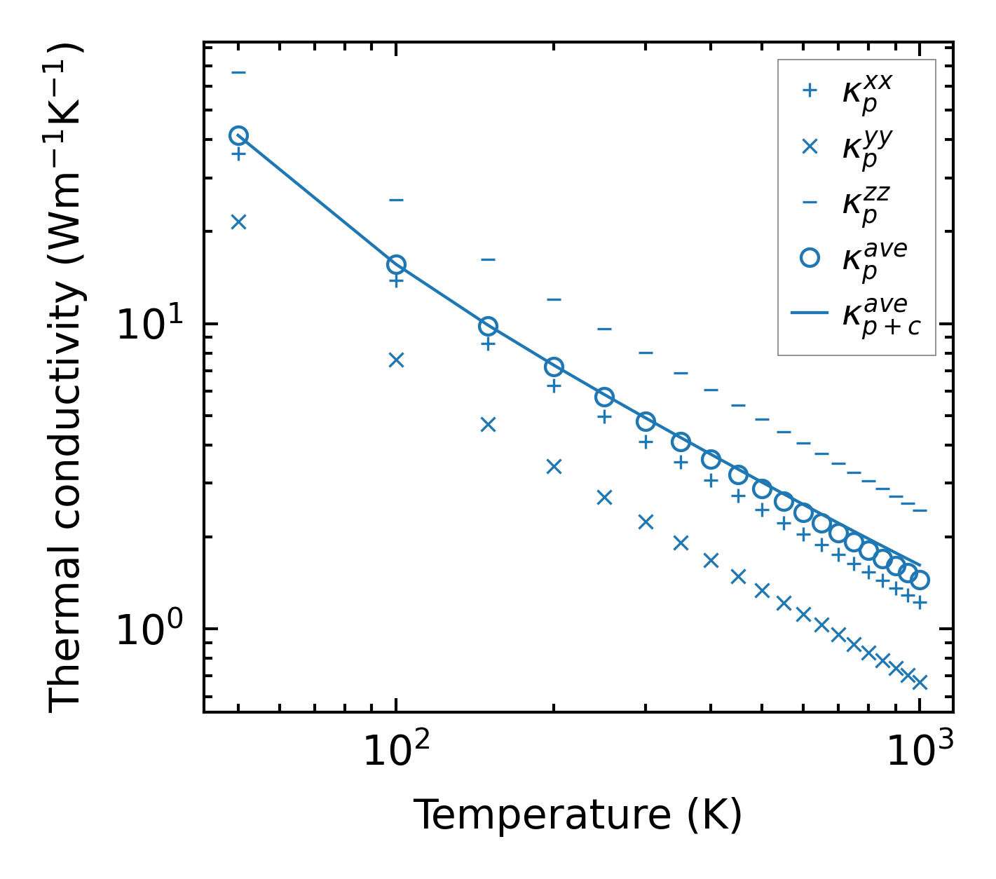
Thermal conductivity

3-phonon (LASSO) — q-mesh: 11x11x14, supercell: 2x1x3

../../_images/fig_kappa7045.png

(a) Temperature-dependent lattice thermal conductivity

../../_images/fig_kappa_vs_grain_size3782.png

(b) Peierls lattice thermal conductivity w.r.t grain size

Phonon lifetime and scattering rates

../../_images/fig_lifetime3698.png

(a) Phonon lifetime due to phonon-phonon scattering

../../_images/fig_scat_rates3697.png

(b) Phonon scattering rates

Cumulative and spectral thermal conductivity

../../_images/fig_cumu_frequency3698.png

(a) Spectral and cumulative thermal conductivity w.r.t frequency

../../_images/fig_cumu_mfp3697.png

(b) Spectral and cumulative thermal conductivity w.r.t MFP

Force constants

../../_images/fig_fc29139.png

(a) Force constants w.r.t atomic distance

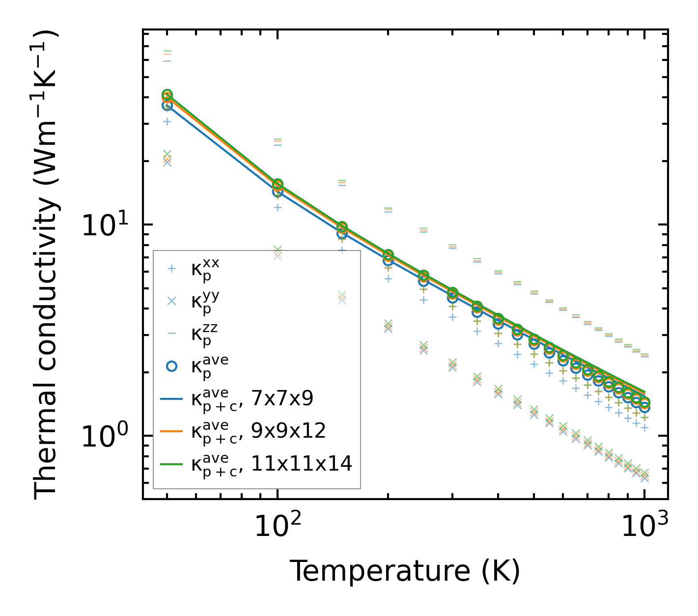
Summary

../../_images/fig_kappa7046.png

(a) Temperature-dependent lattice thermal conductivity

../../_images/fig_times16344.png

(b) Computation time