mp-37906/LiMgN/anharm

Harmonic properties

../../_images/fig_bandos_pr10601.png

(a) Phonon dispersion with participation ratio and DOS

../../_images/fig_thermo10601.png

(b) Thermodynamic properties

Grüneisen parameters

../../_images/fig_gru_all4305.png

(a) Grüneisen parameters

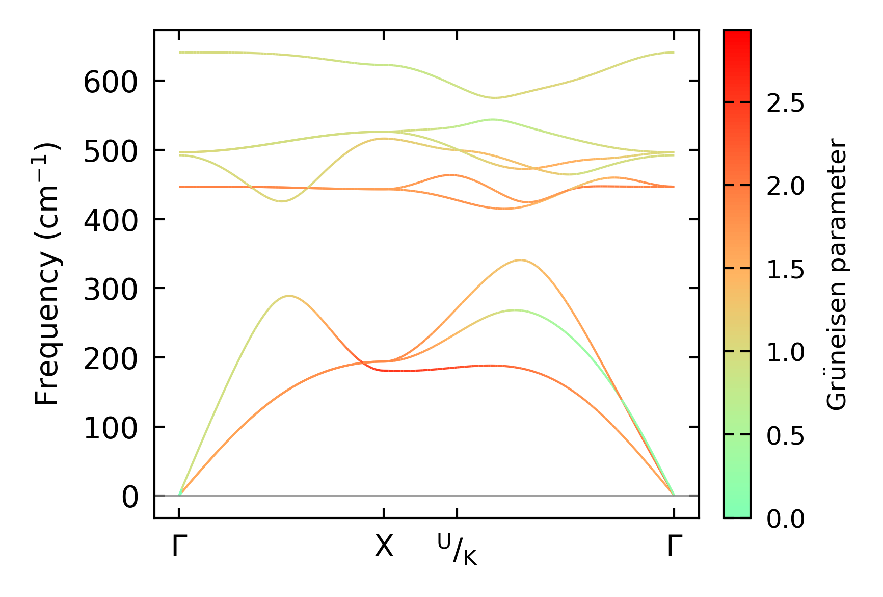
../../_images/fig_gruneisen4305.png

(b) Phonon dispersion with Grüneisen parameters

Thermal conductivity

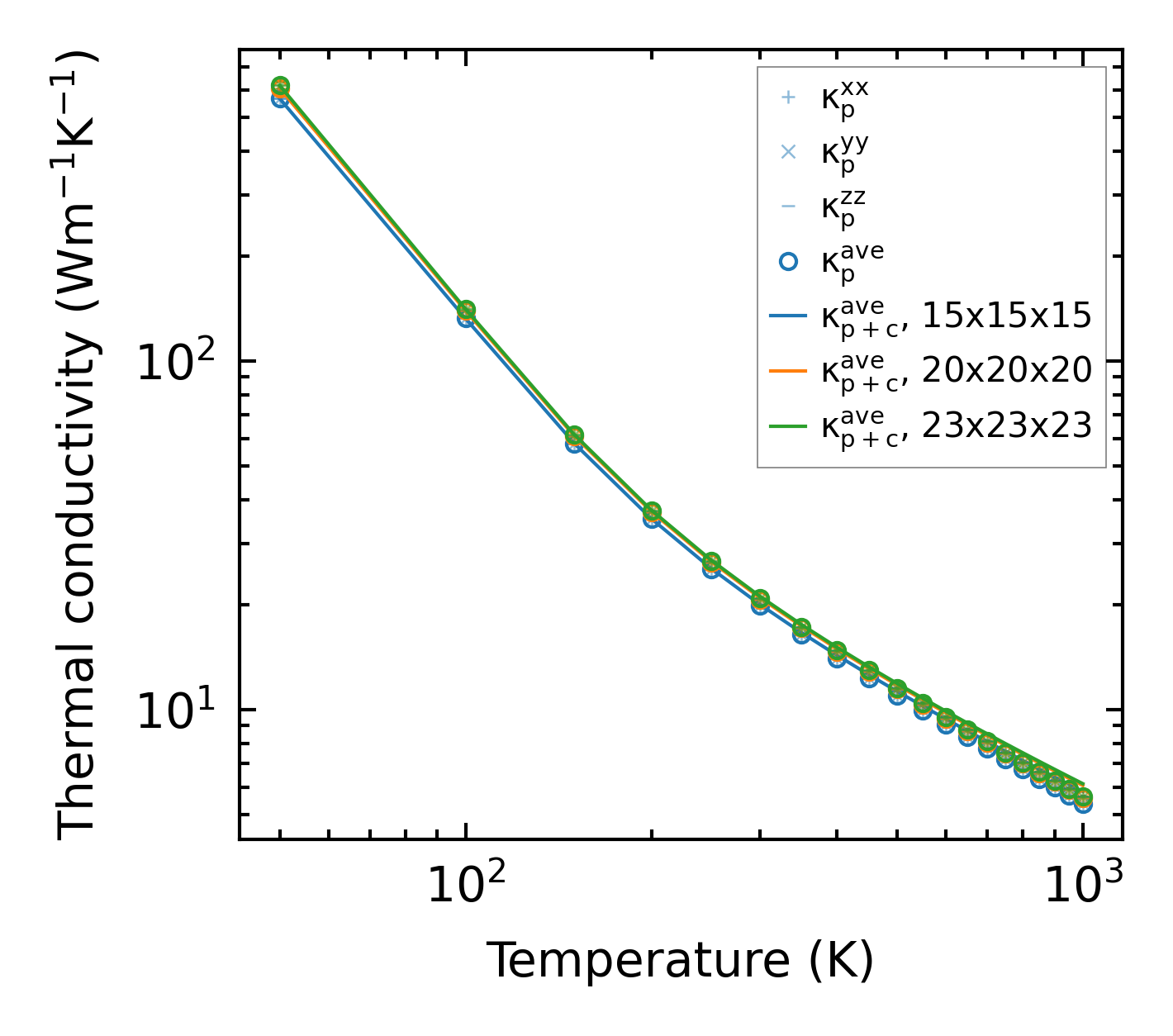
3-phonon (LASSO) — q-mesh: 23x23x23, supercell: 2x2x2

../../_images/fig_kappa8118.png

(a) Temperature-dependent lattice thermal conductivity

../../_images/fig_kappa_vs_grain_size4356.png

(b) Peierls lattice thermal conductivity w.r.t grain size

Phonon lifetime and scattering rates

../../_images/fig_lifetime4262.png

(a) Phonon lifetime due to phonon-phonon scattering

../../_images/fig_scat_rates4261.png

(b) Phonon scattering rates

Cumulative and spectral thermal conductivity

../../_images/fig_cumu_frequency4262.png

(a) Spectral and cumulative thermal conductivity w.r.t frequency

../../_images/fig_cumu_mfp4261.png

(b) Spectral and cumulative thermal conductivity w.r.t MFP

Force constants

../../_images/fig_fc210336.png

(a) Force constants w.r.t atomic distance

Summary

../../_images/fig_kappa8119.png

(a) Temperature-dependent lattice thermal conductivity

../../_images/fig_times18220.png

(b) Computation time