mp-37879/LiYSe2/anharm

Harmonic properties

../../_images/fig_bandos_pr10600.png

(a) Phonon dispersion with participation ratio and DOS

../../_images/fig_thermo10600.png

(b) Thermodynamic properties

Grüneisen parameters

../../_images/fig_gru_all4304.png

(a) Grüneisen parameters

../../_images/fig_gruneisen4304.png

(b) Phonon dispersion with Grüneisen parameters

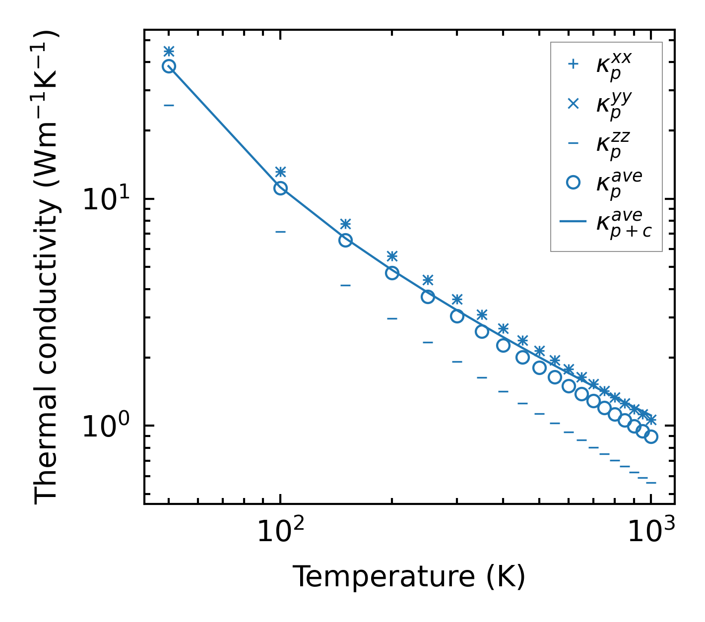
Thermal conductivity

3-phonon (LASSO) — q-mesh: 12x12x12, supercell: 3x3x1

../../_images/fig_kappa8116.png

(a) Temperature-dependent lattice thermal conductivity

../../_images/fig_kappa_vs_grain_size4355.png

(b) Peierls lattice thermal conductivity w.r.t grain size

Phonon lifetime and scattering rates

../../_images/fig_lifetime4261.png

(a) Phonon lifetime due to phonon-phonon scattering

../../_images/fig_scat_rates4260.png

(b) Phonon scattering rates

Cumulative and spectral thermal conductivity

../../_images/fig_cumu_frequency4261.png

(a) Spectral and cumulative thermal conductivity w.r.t frequency

../../_images/fig_cumu_mfp4260.png

(b) Spectral and cumulative thermal conductivity w.r.t MFP

Force constants

../../_images/fig_fc210335.png

(a) Force constants w.r.t atomic distance

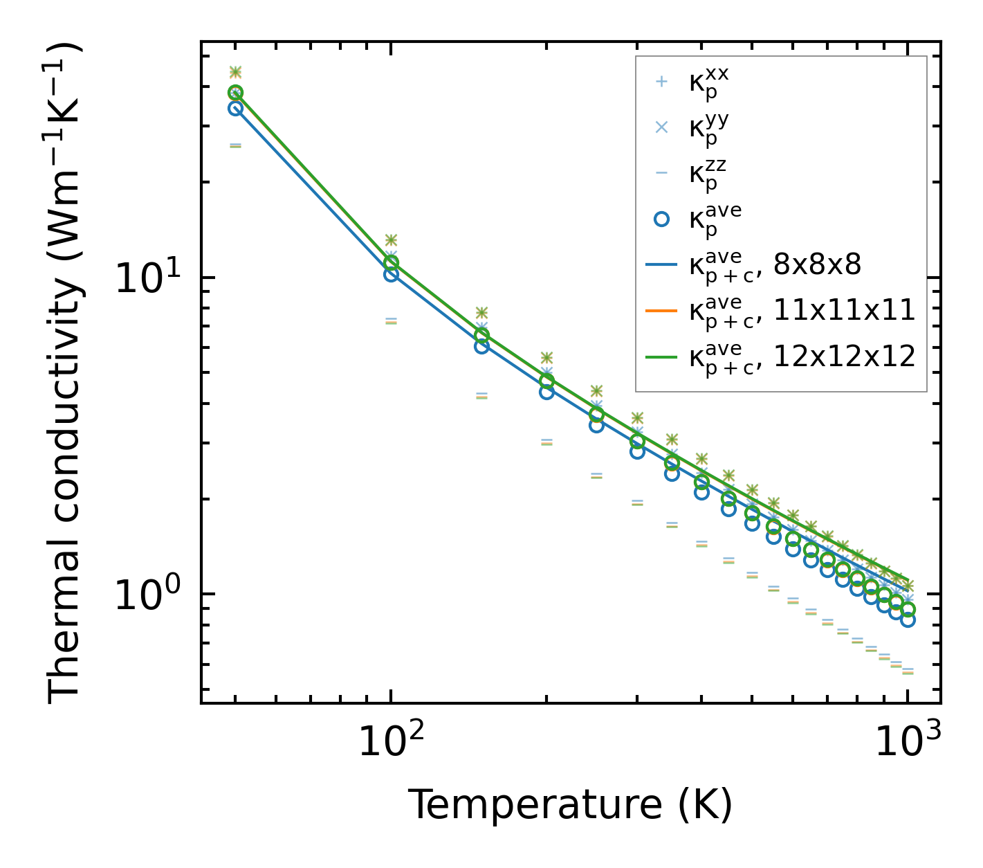
Summary

../../_images/fig_kappa8117.png

(a) Temperature-dependent lattice thermal conductivity

../../_images/fig_times18219.png

(b) Computation time