mp-37381/SmOF/anharm

Harmonic properties

../../_images/fig_bandos_pr10586.png

(a) Phonon dispersion with participation ratio and DOS

../../_images/fig_thermo10586.png

(b) Thermodynamic properties

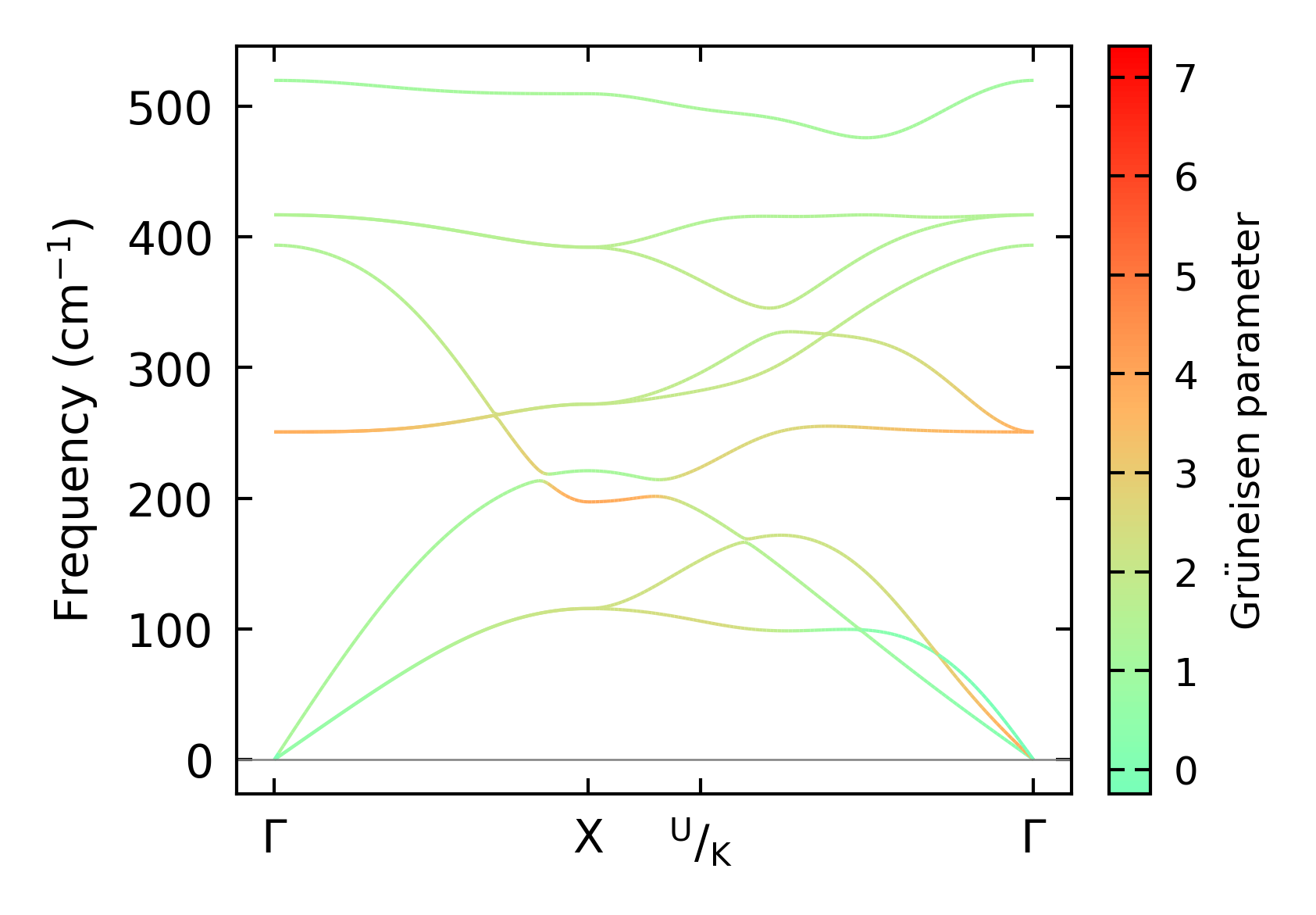
Grüneisen parameters

../../_images/fig_gru_all4298.png

(a) Grüneisen parameters

../../_images/fig_gruneisen4298.png

(b) Phonon dispersion with Grüneisen parameters

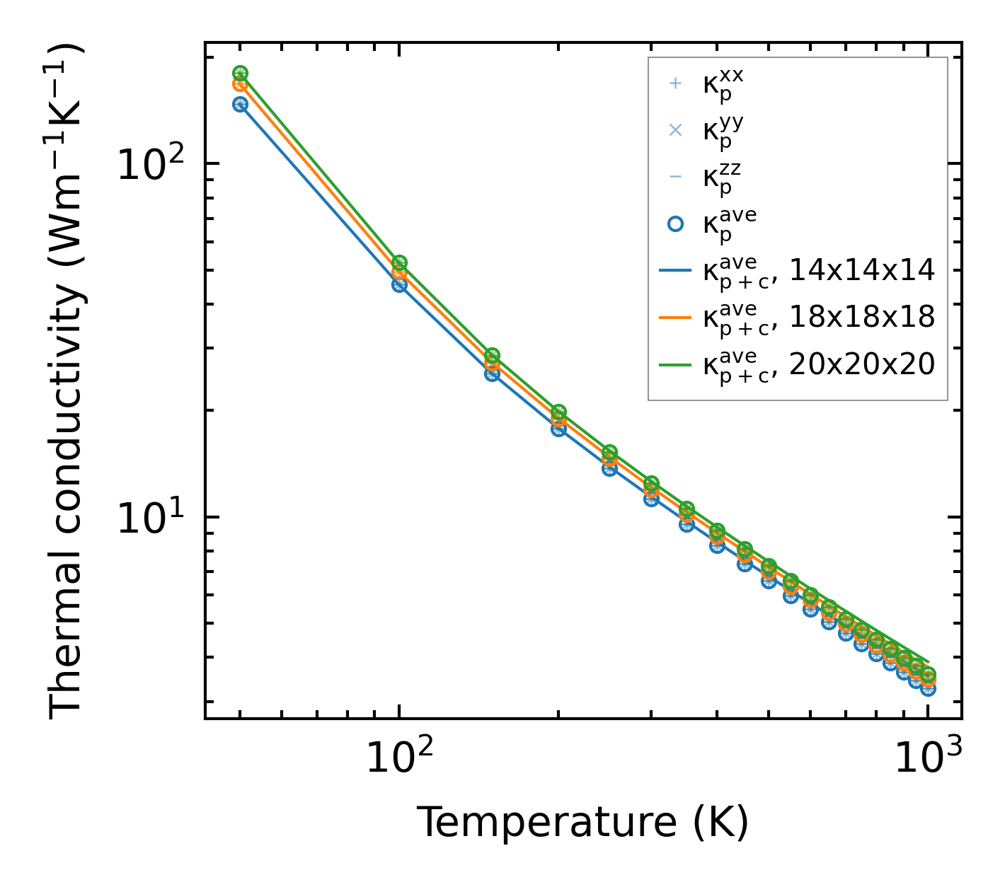
Thermal conductivity

3-phonon — q-mesh: 20x20x20, supercell: 2x2x2

../../_images/fig_kappa8104.png

(a) Temperature-dependent lattice thermal conductivity

../../_images/fig_kappa_vs_grain_size4349.png

(b) Peierls lattice thermal conductivity w.r.t grain size

Phonon lifetime and scattering rates

../../_images/fig_lifetime4255.png

(a) Phonon lifetime due to phonon-phonon scattering

../../_images/fig_scat_rates4254.png

(b) Phonon scattering rates

Cumulative and spectral thermal conductivity

../../_images/fig_cumu_frequency4255.png

(a) Spectral and cumulative thermal conductivity w.r.t frequency

../../_images/fig_cumu_mfp4254.png

(b) Spectral and cumulative thermal conductivity w.r.t MFP

Force constants

../../_images/fig_fc3265.png

(a) Force constants w.r.t atomic distance

Summary

../../_images/fig_kappa8105.png

(a) Temperature-dependent lattice thermal conductivity

../../_images/fig_times18195.png

(b) Computation time