mp-37657/Ca3SiO5/anharm

Harmonic properties

../../_images/fig_bandos_pr10594.png

(a) Phonon dispersion with participation ratio and DOS

../../_images/fig_thermo10594.png

(b) Thermodynamic properties

Grüneisen parameters

../../_images/fig_gru_all4301.png

(a) Grüneisen parameters

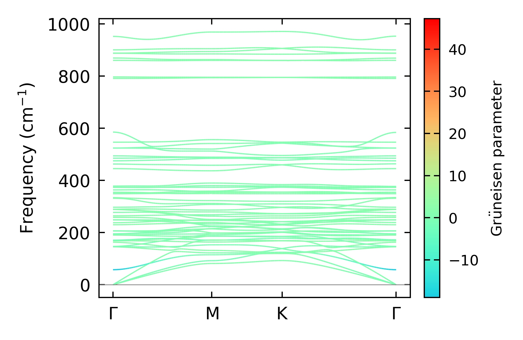
../../_images/fig_gruneisen4301.png

(b) Phonon dispersion with Grüneisen parameters

Thermal conductivity

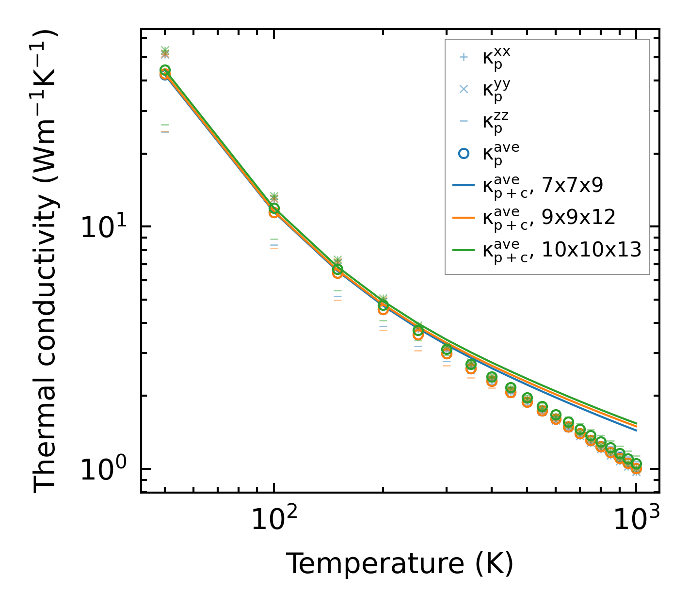
3-phonon (LASSO) — q-mesh: 10x10x13, supercell: 2x2x2

../../_images/fig_kappa8110.png

(a) Temperature-dependent lattice thermal conductivity

../../_images/fig_kappa_vs_grain_size4352.png

(b) Peierls lattice thermal conductivity w.r.t grain size

Phonon lifetime and scattering rates

../../_images/fig_lifetime4258.png

(a) Phonon lifetime due to phonon-phonon scattering

../../_images/fig_scat_rates4257.png

(b) Phonon scattering rates

Cumulative and spectral thermal conductivity

../../_images/fig_cumu_frequency4258.png

(a) Spectral and cumulative thermal conductivity w.r.t frequency

../../_images/fig_cumu_mfp4257.png

(b) Spectral and cumulative thermal conductivity w.r.t MFP

Force constants

../../_images/fig_fc210329.png

(a) Force constants w.r.t atomic distance

Summary

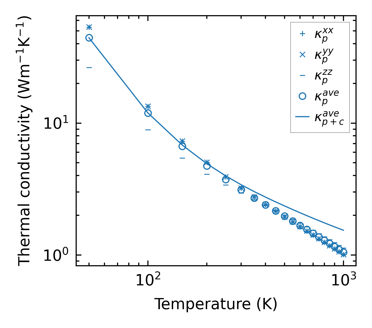
../../_images/fig_kappa8111.png

(a) Temperature-dependent lattice thermal conductivity

../../_images/fig_times18209.png

(b) Computation time