mp-34993-2/LiAlO2/anharm

Equation of state

../../_images/fig_bm5241.png

(a) Equation of state

Harmonic properties

../../_images/fig_bandos_pr10493.png

(a) Phonon dispersion with participation ratio and DOS

../../_images/fig_thermo10493.png

(b) Thermodynamic properties

Grüneisen parameters

../../_images/fig_gru_all4254.png

(a) Grüneisen parameters

../../_images/fig_gruneisen4254.png

(b) Phonon dispersion with Grüneisen parameters

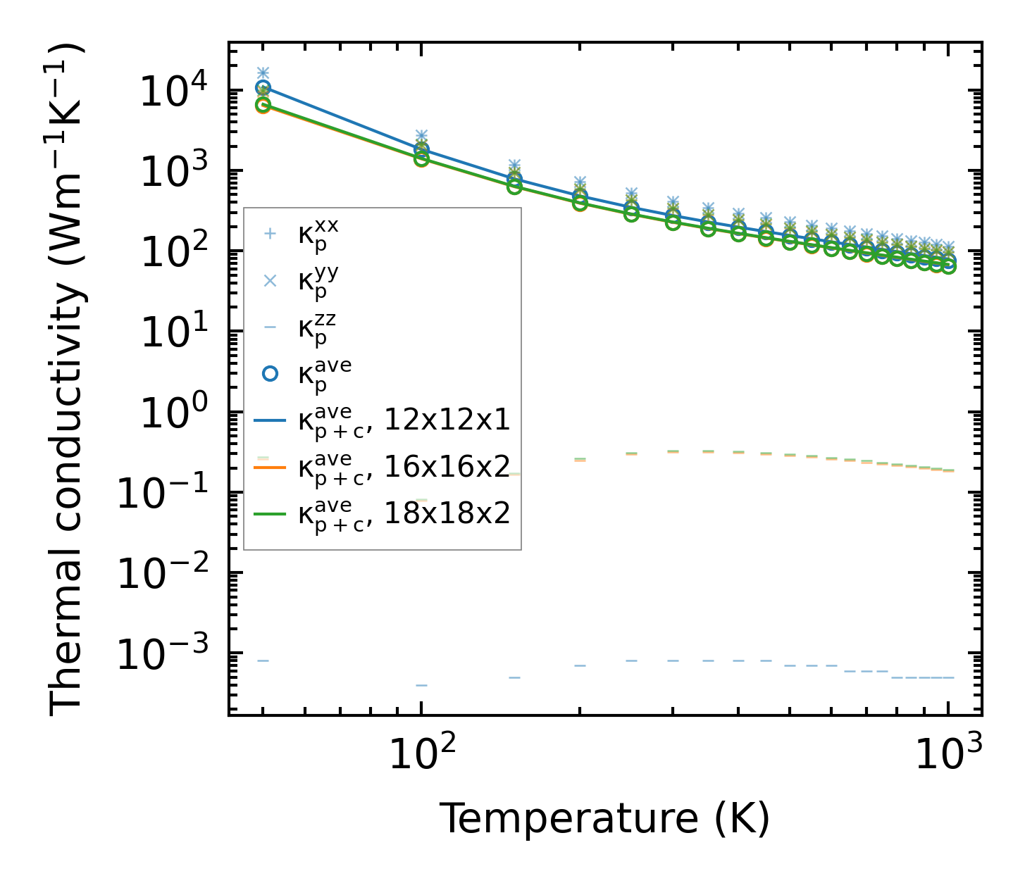
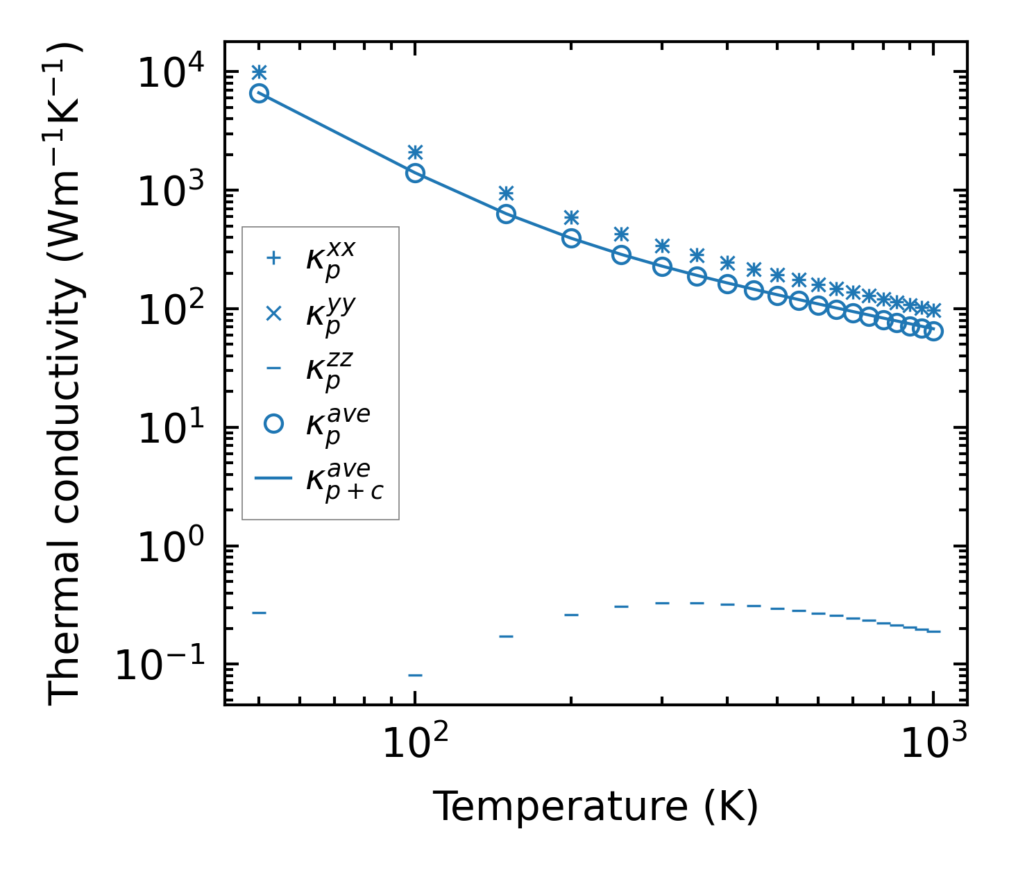
Thermal conductivity

3-phonon (LASSO) — q-mesh: 18x18x2, supercell: 1x1x1

../../_images/fig_kappa8020.png

(a) Temperature-dependent lattice thermal conductivity

../../_images/fig_kappa_vs_grain_size4307.png

(b) Peierls lattice thermal conductivity w.r.t grain size

Phonon lifetime and scattering rates

../../_images/fig_lifetime4213.png

(a) Phonon lifetime due to phonon-phonon scattering

../../_images/fig_scat_rates4212.png

(b) Phonon scattering rates

Cumulative and spectral thermal conductivity

../../_images/fig_cumu_frequency4213.png

(a) Spectral and cumulative thermal conductivity w.r.t frequency

../../_images/fig_cumu_mfp4212.png

(b) Spectral and cumulative thermal conductivity w.r.t MFP

Force constants

../../_images/fig_fc210235.png

(a) Force constants w.r.t atomic distance

Summary

../../_images/fig_kappa8021.png

(a) Temperature-dependent lattice thermal conductivity

../../_images/fig_times18072.png

(b) Computation time