mp-34418-2/AgPF6/harm

Equation of state

../../_images/fig_bm5239.png

(a) Equation of state

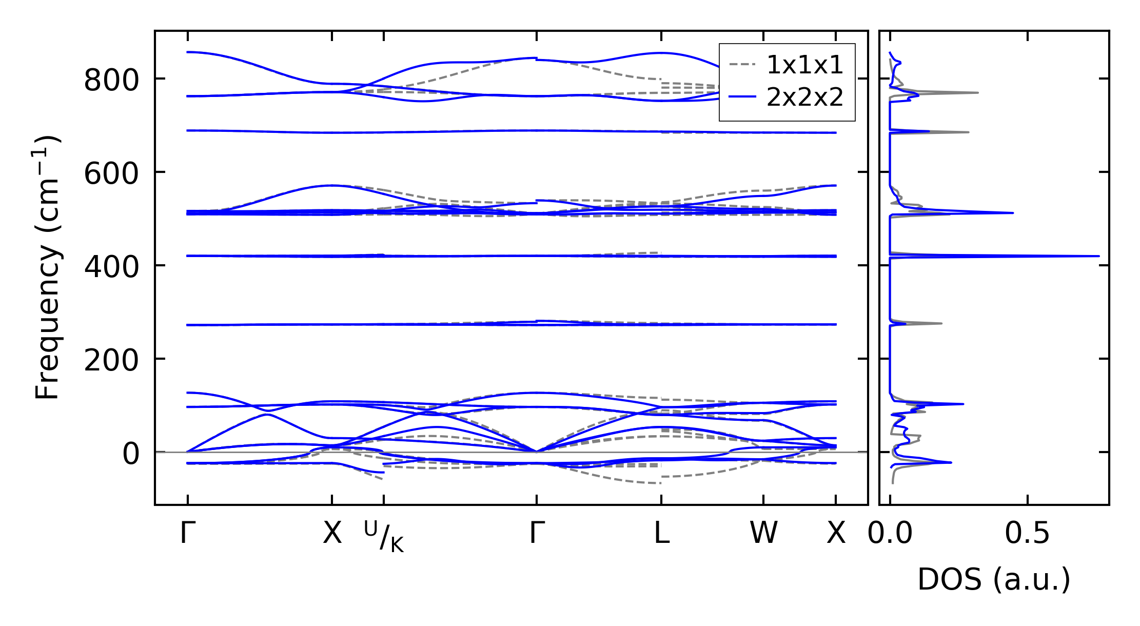
Harmonic properties

../../_images/fig_bandos_pr10480.png

(a) Phonon dispersion with participation ratio and DOS

../../_images/fig_bandos14416.png

(b) Phonon dispersion and DOS

../../_images/fig_thermo10480.png

(c) Thermodynamic properties

Force constants

../../_images/fig_fc210222.png

(a) Force constants w.r.t atomic distance

Summary

../../_images/fig_times18049.png

(a) Computation time