mp-1225522/Er3S3OF/anharm

Harmonic properties

../../_images/fig_bandos_pr15076.png

(a) Phonon dispersion with participation ratio and DOS

../../_images/fig_thermo15075.png

(b) Thermodynamic properties

Grüneisen parameters

../../_images/fig_gru_all6474.png

(a) Grüneisen parameters

../../_images/fig_gruneisen6474.png

(b) Phonon dispersion with Grüneisen parameters

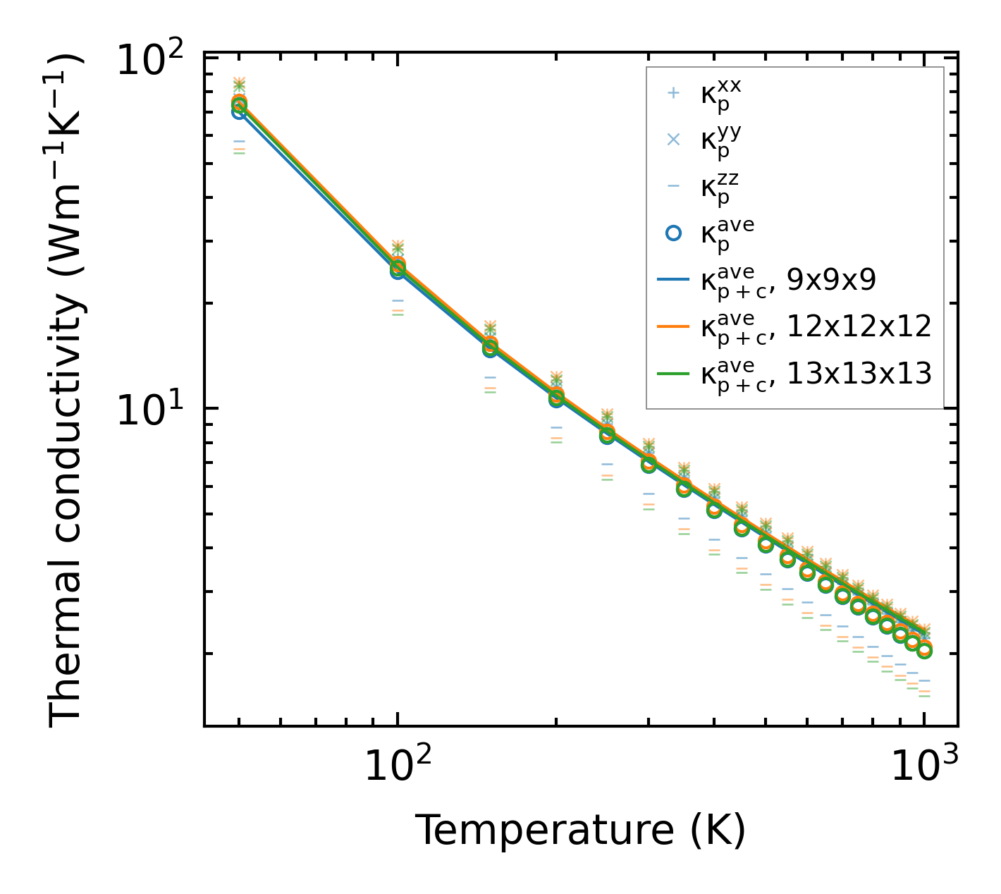
Thermal conductivity

3-phonon (LASSO) — q-mesh: 13x13x13, supercell: 3x3x1

../../_images/fig_kappa12178.png

(a) Temperature-dependent lattice thermal conductivity

../../_images/fig_kappa_vs_grain_size6551.png

(b) Peierls lattice thermal conductivity w.r.t grain size

Phonon lifetime and scattering rates

../../_images/fig_lifetime6408.png

(a) Phonon lifetime due to phonon-phonon scattering

../../_images/fig_scat_rates6407.png

(b) Phonon scattering rates

Cumulative and spectral thermal conductivity

../../_images/fig_cumu_frequency6408.png

(a) Spectral and cumulative thermal conductivity w.r.t frequency

../../_images/fig_cumu_mfp6407.png

(b) Spectral and cumulative thermal conductivity w.r.t MFP

Force constants

../../_images/fig_fc214692.png

(a) Force constants w.r.t atomic distance

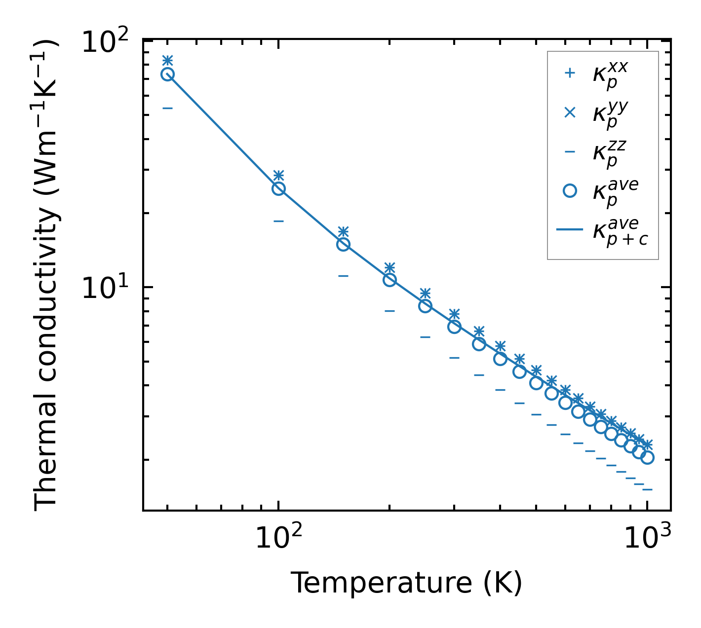
Summary

../../_images/fig_kappa12179.png

(a) Temperature-dependent lattice thermal conductivity

../../_images/fig_times24948.png

(b) Computation time