mp-1225447/ErPaO4/anharm

Harmonic properties

../../_images/fig_bandos_pr15073.png

(a) Phonon dispersion with participation ratio and DOS

../../_images/fig_thermo15072.png

(b) Thermodynamic properties

Grüneisen parameters

../../_images/fig_gru_all6471.png

(a) Grüneisen parameters

../../_images/fig_gruneisen6471.png

(b) Phonon dispersion with Grüneisen parameters

Thermal conductivity

3-phonon (LASSO) — q-mesh: 19x19x13, supercell: 3x3x2

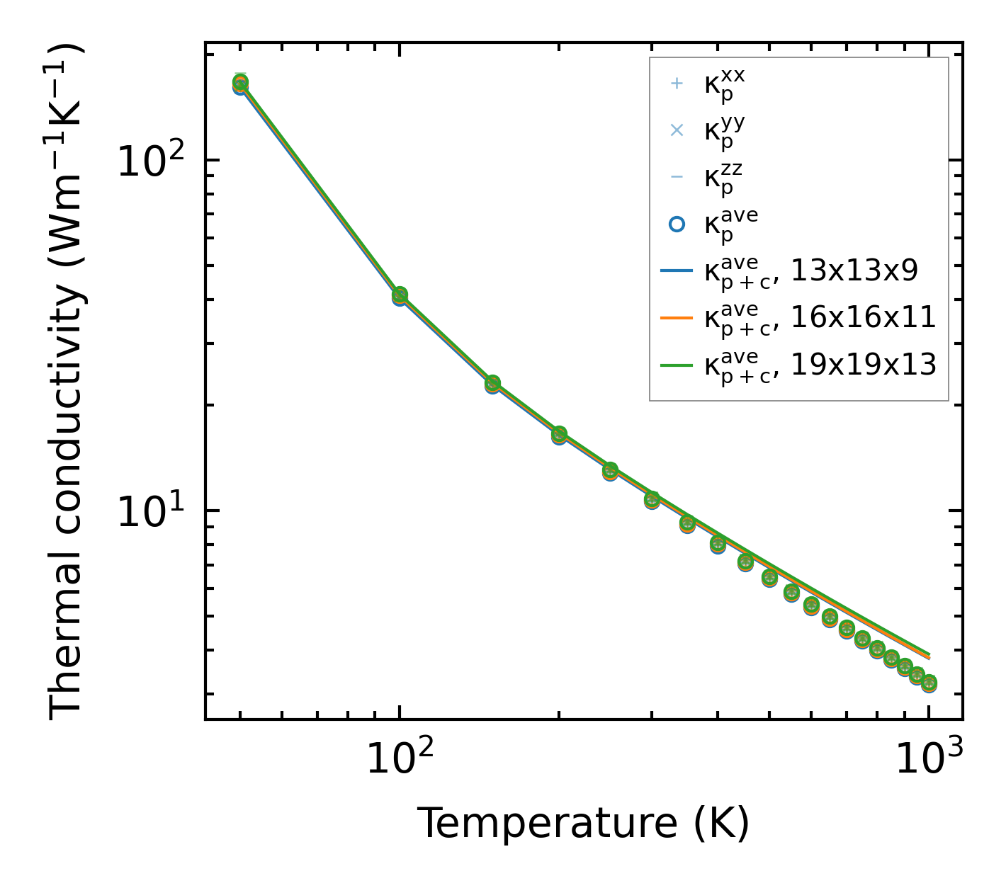
../../_images/fig_kappa12172.png

(a) Temperature-dependent lattice thermal conductivity

../../_images/fig_kappa_vs_grain_size6548.png

(b) Peierls lattice thermal conductivity w.r.t grain size

Phonon lifetime and scattering rates

../../_images/fig_lifetime6405.png

(a) Phonon lifetime due to phonon-phonon scattering

../../_images/fig_scat_rates6404.png

(b) Phonon scattering rates

Cumulative and spectral thermal conductivity

../../_images/fig_cumu_frequency6405.png

(a) Spectral and cumulative thermal conductivity w.r.t frequency

../../_images/fig_cumu_mfp6404.png

(b) Spectral and cumulative thermal conductivity w.r.t MFP

Force constants

../../_images/fig_fc214689.png

(a) Force constants w.r.t atomic distance

Summary

../../_images/fig_kappa12173.png

(a) Temperature-dependent lattice thermal conductivity

../../_images/fig_times24943.png

(b) Computation time