mp-1225301/DyAgTe2/anharm

Harmonic properties

../../_images/fig_bandos_pr15071.png

(a) Phonon dispersion with participation ratio and DOS

../../_images/fig_thermo15070.png

(b) Thermodynamic properties

Grüneisen parameters

../../_images/fig_gru_all6469.png

(a) Grüneisen parameters

../../_images/fig_gruneisen6469.png

(b) Phonon dispersion with Grüneisen parameters

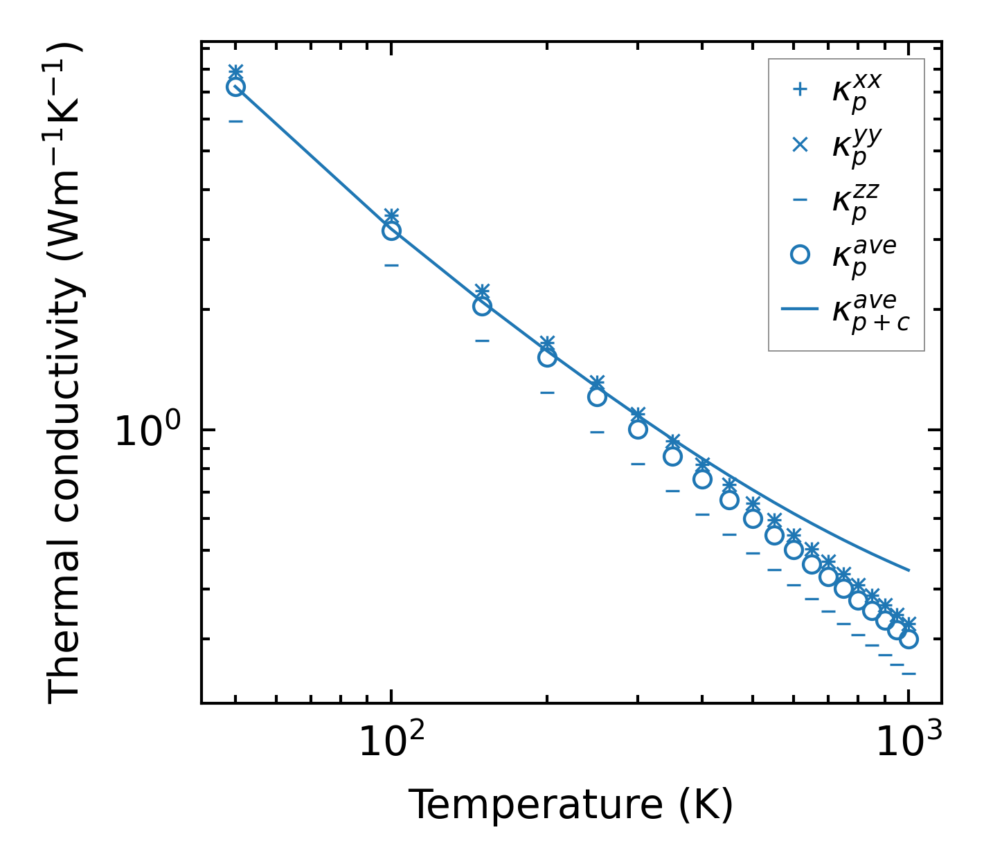
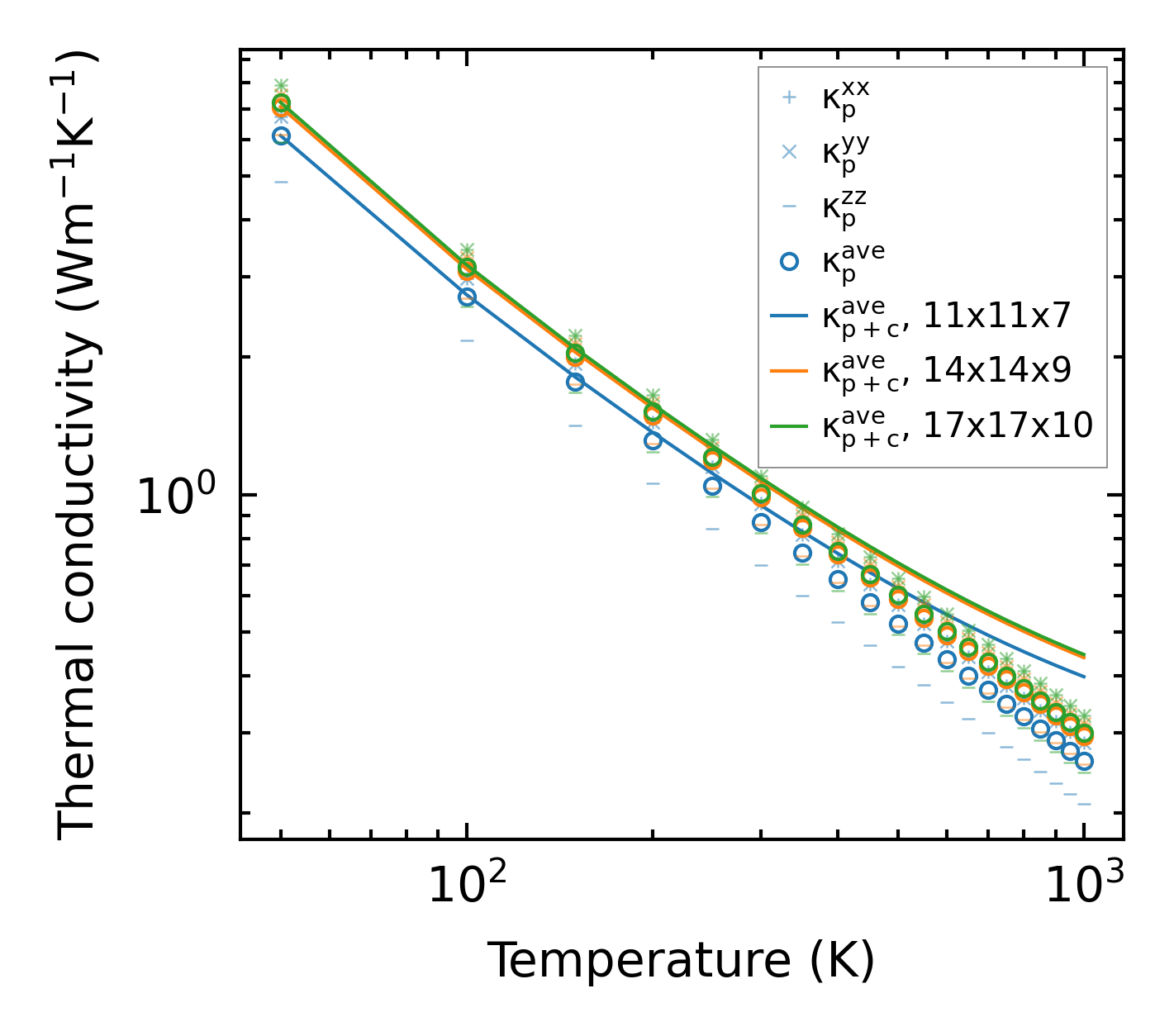
Thermal conductivity

3-phonon (LASSO) — q-mesh: 17x17x10, supercell: 4x4x2

../../_images/fig_kappa12168.png

(a) Temperature-dependent lattice thermal conductivity

../../_images/fig_kappa_vs_grain_size6546.png

(b) Peierls lattice thermal conductivity w.r.t grain size

Phonon lifetime and scattering rates

../../_images/fig_lifetime6403.png

(a) Phonon lifetime due to phonon-phonon scattering

../../_images/fig_scat_rates6402.png

(b) Phonon scattering rates

Cumulative and spectral thermal conductivity

../../_images/fig_cumu_frequency6403.png

(a) Spectral and cumulative thermal conductivity w.r.t frequency

../../_images/fig_cumu_mfp6402.png

(b) Spectral and cumulative thermal conductivity w.r.t MFP

Force constants

../../_images/fig_fc214687.png

(a) Force constants w.r.t atomic distance

Summary

../../_images/fig_kappa12169.png

(a) Temperature-dependent lattice thermal conductivity

../../_images/fig_times24941.png

(b) Computation time