mp-1217471/TbPaO4/anharm

Harmonic properties

../../_images/fig_bandos_pr15228.png

(a) Phonon dispersion with participation ratio and DOS

../../_images/fig_thermo15227.png

(b) Thermodynamic properties

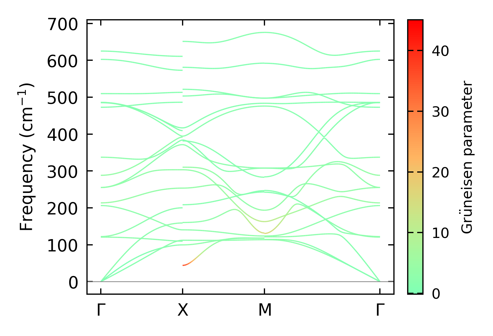
Grüneisen parameters

../../_images/fig_gru_all6556.png

(a) Grüneisen parameters

../../_images/fig_gruneisen6556.png

(b) Phonon dispersion with Grüneisen parameters

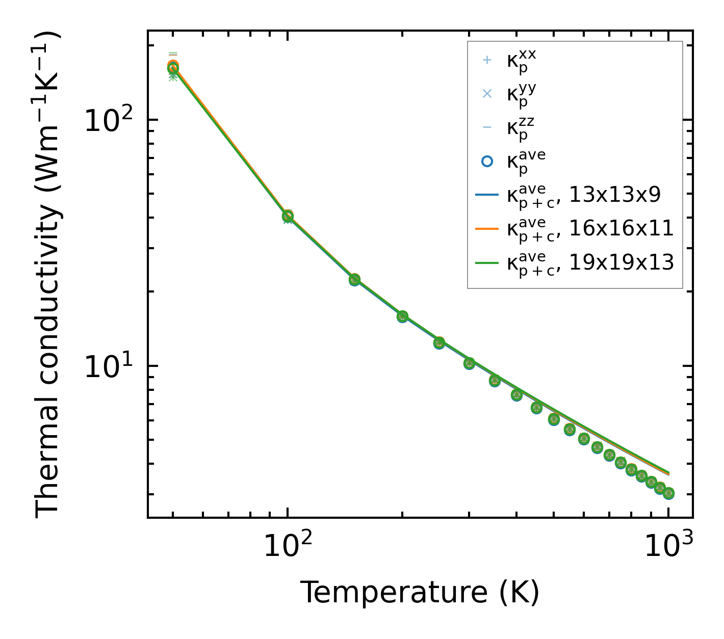
Thermal conductivity

3-phonon (LASSO) — q-mesh: 19x19x13, supercell: 3x3x2

../../_images/fig_kappa12339.png

(a) Temperature-dependent lattice thermal conductivity

../../_images/fig_kappa_vs_grain_size6633.png

(b) Peierls lattice thermal conductivity w.r.t grain size

Phonon lifetime and scattering rates

../../_images/fig_lifetime6490.png

(a) Phonon lifetime due to phonon-phonon scattering

../../_images/fig_scat_rates6489.png

(b) Phonon scattering rates

Cumulative and spectral thermal conductivity

../../_images/fig_cumu_frequency6490.png

(a) Spectral and cumulative thermal conductivity w.r.t frequency

../../_images/fig_cumu_mfp6489.png

(b) Spectral and cumulative thermal conductivity w.r.t MFP

Force constants

../../_images/fig_fc214840.png

(a) Force constants w.r.t atomic distance

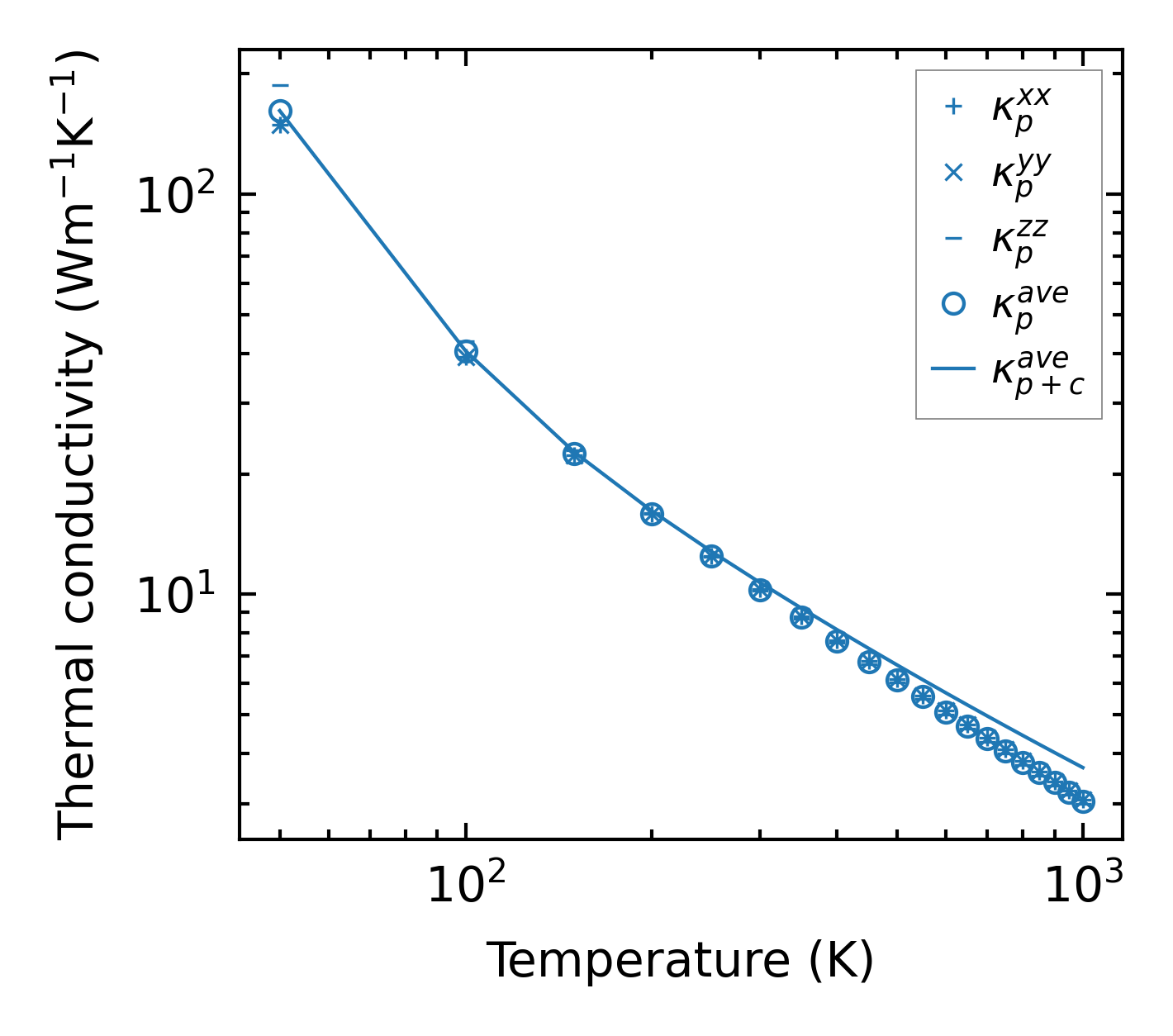
Summary

../../_images/fig_kappa12340.png

(a) Temperature-dependent lattice thermal conductivity

../../_images/fig_times25200.png

(b) Computation time