mp-1217281/Th2AsNO/anharm

Harmonic properties

../../_images/fig_bandos_pr15221.png

(a) Phonon dispersion with participation ratio and DOS

../../_images/fig_thermo15220.png

(b) Thermodynamic properties

Grüneisen parameters

../../_images/fig_gru_all6551.png

(a) Grüneisen parameters

../../_images/fig_gruneisen6551.png

(b) Phonon dispersion with Grüneisen parameters

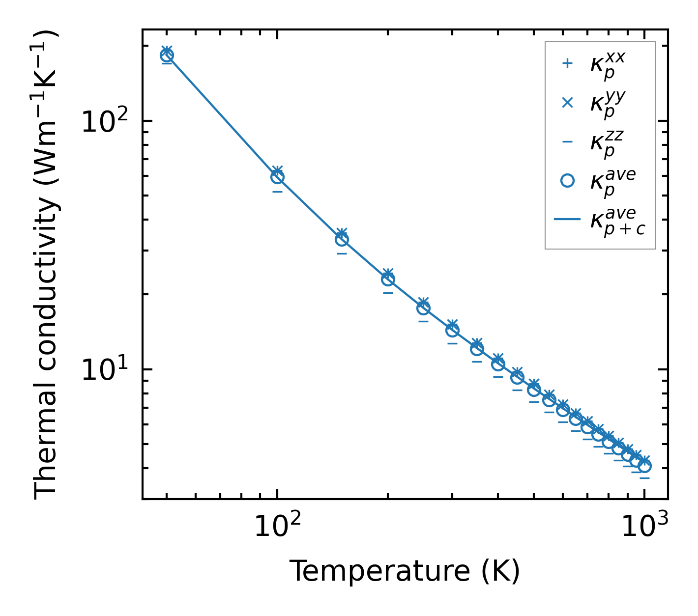
Thermal conductivity

3-phonon (LASSO) — q-mesh: 18x18x10, supercell: 3x3x2

../../_images/fig_kappa12329.png

(a) Temperature-dependent lattice thermal conductivity

../../_images/fig_kappa_vs_grain_size6628.png

(b) Peierls lattice thermal conductivity w.r.t grain size

Phonon lifetime and scattering rates

../../_images/fig_lifetime6485.png

(a) Phonon lifetime due to phonon-phonon scattering

../../_images/fig_scat_rates6484.png

(b) Phonon scattering rates

Cumulative and spectral thermal conductivity

../../_images/fig_cumu_frequency6485.png

(a) Spectral and cumulative thermal conductivity w.r.t frequency

../../_images/fig_cumu_mfp6484.png

(b) Spectral and cumulative thermal conductivity w.r.t MFP

Force constants

../../_images/fig_fc214833.png

(a) Force constants w.r.t atomic distance

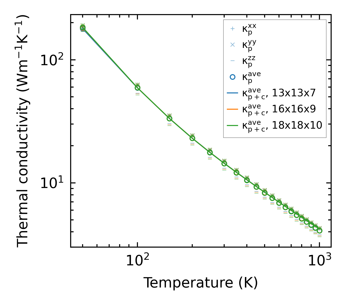
Summary

../../_images/fig_kappa12330.png

(a) Temperature-dependent lattice thermal conductivity

../../_images/fig_times25187.png

(b) Computation time