mp-1044794/BiPO4/harm

Harmonic properties

../../_images/fig_bandos_pr17044.png

(a) Phonon dispersion with participation ratio and DOS

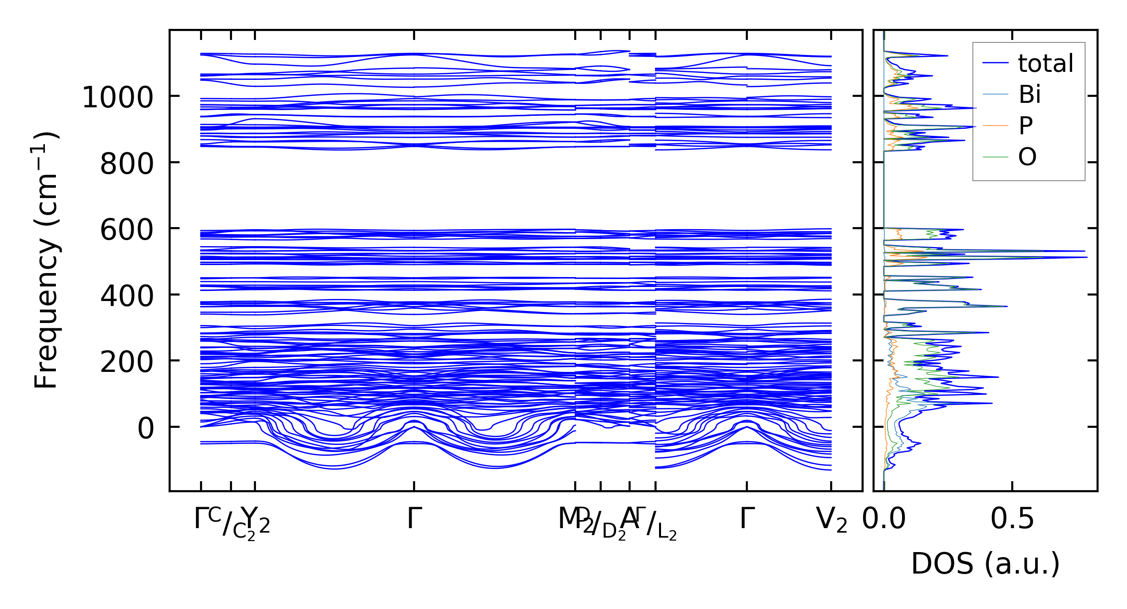
../../_images/fig_bandos21382.png

(b) Phonon dispersion and DOS

../../_images/fig_thermo17043.png

(c) Thermodynamic properties

Force constants

../../_images/fig_fc216596.png

(a) Force constants w.r.t atomic distance

Summary

../../_images/fig_times27781.png

(a) Computation time