mp-1044097/ZnAgBiO5/anharm

Harmonic properties

../../_images/fig_bandos_pr17026.png

(a) Phonon dispersion with participation ratio and DOS

../../_images/fig_thermo17025.png

(b) Thermodynamic properties

Grüneisen parameters

../../_images/fig_gru_all7457.png

(a) Grüneisen parameters

../../_images/fig_gruneisen7457.png

(b) Phonon dispersion with Grüneisen parameters

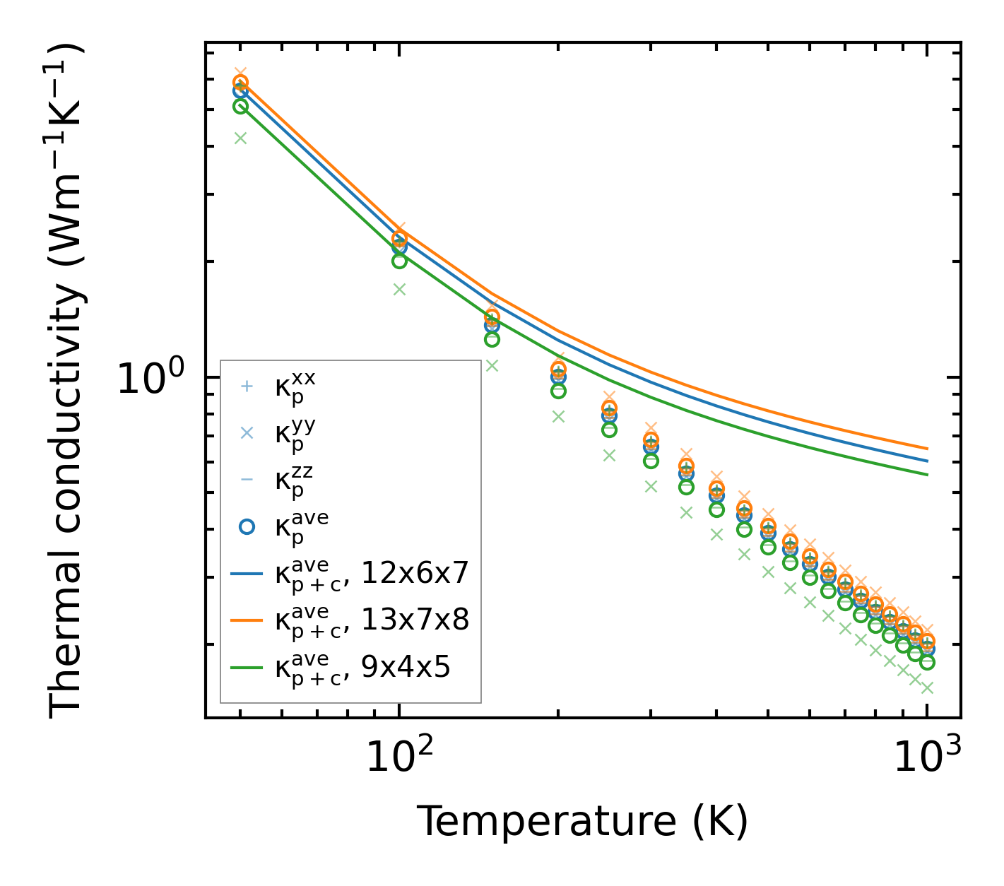
Thermal conductivity

3-phonon (LASSO) — q-mesh: 13x7x8, supercell: 2x1x2

../../_images/fig_kappa14064.png

(a) Temperature-dependent lattice thermal conductivity

../../_images/fig_kappa_vs_grain_size7545.png

(b) Peierls lattice thermal conductivity w.r.t grain size

Phonon lifetime and scattering rates

../../_images/fig_lifetime7390.png

(a) Phonon lifetime due to phonon-phonon scattering

../../_images/fig_scat_rates7389.png

(b) Phonon scattering rates

Cumulative and spectral thermal conductivity

../../_images/fig_cumu_frequency7390.png

(a) Spectral and cumulative thermal conductivity w.r.t frequency

../../_images/fig_cumu_mfp7389.png

(b) Spectral and cumulative thermal conductivity w.r.t MFP

Force constants

../../_images/fig_fc216578.png

(a) Force constants w.r.t atomic distance

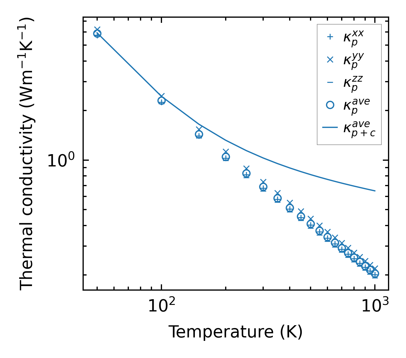
Summary

../../_images/fig_kappa14065.png

(a) Temperature-dependent lattice thermal conductivity

../../_images/fig_times27755.png

(b) Computation time