mp-995214-3/H6PbCI3N/anharm

Harmonic properties

../../_images/fig_bandos_pr887.png

(a) Phonon dispersion with participation ratio and DOS

../../_images/fig_thermo887.png

(b) Thermodynamic properties

Grüneisen parameters

../../_images/fig_gru_all557.png

(a) Grüneisen parameters

../../_images/fig_gruneisen557.png

(b) Phonon dispersion with Grüneisen parameters

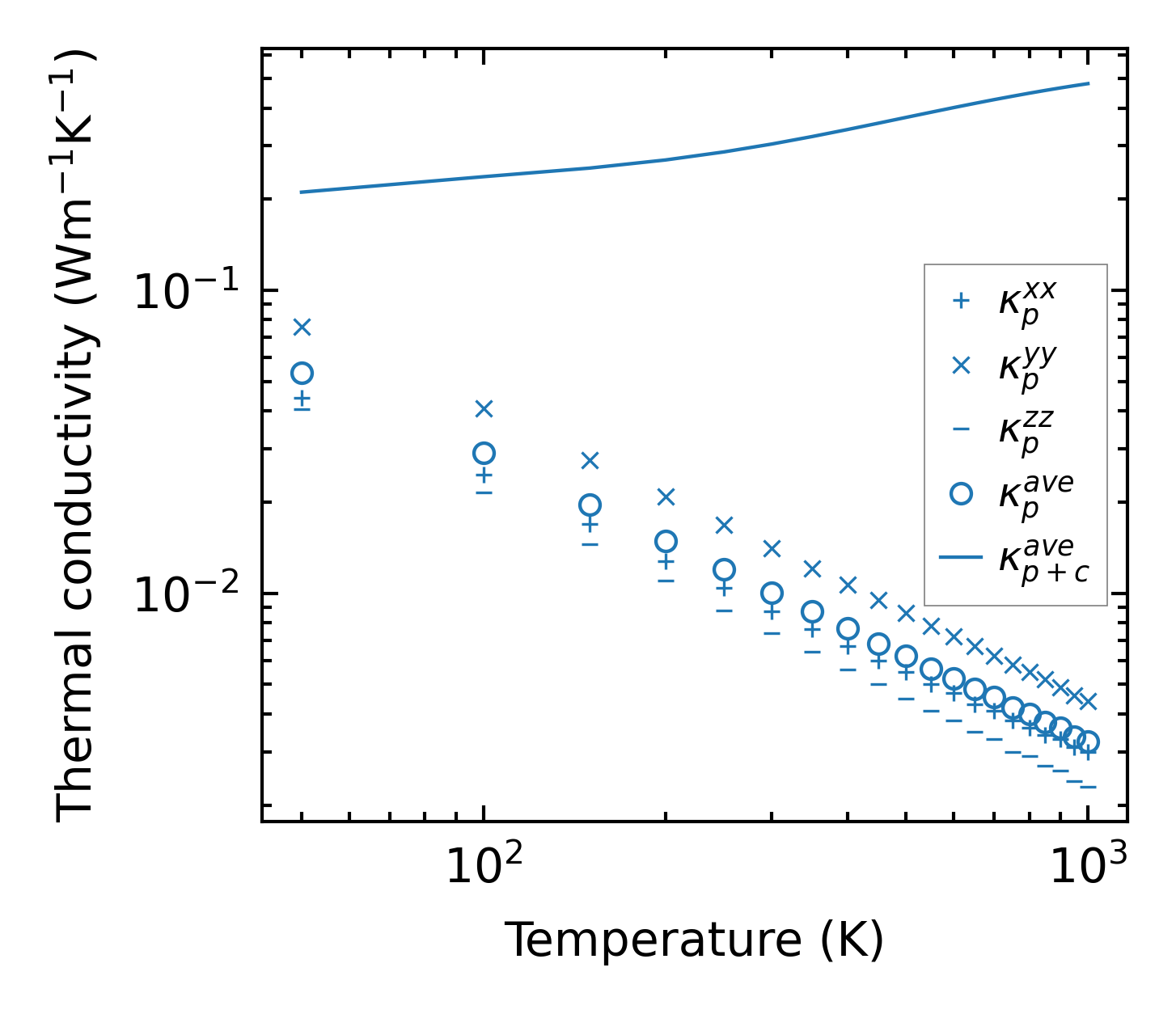
Thermal conductivity

3-phonon (LASSO) — q-mesh: 8x5x7, supercell: 2x1x1

../../_images/fig_kappa1085.png

(a) Temperature-dependent lattice thermal conductivity

../../_images/fig_kappa_vs_grain_size564.png

(b) Peierls lattice thermal conductivity w.r.t grain size

Phonon lifetime and scattering rates

../../_images/fig_lifetime555.png

(a) Phonon lifetime due to phonon-phonon scattering

../../_images/fig_scat_rates554.png

(b) Phonon scattering rates

Cumulative and spectral thermal conductivity

../../_images/fig_cumu_frequency555.png

(a) Spectral and cumulative thermal conductivity w.r.t frequency

../../_images/fig_cumu_mfp555.png

(b) Spectral and cumulative thermal conductivity w.r.t MFP

Force constants

../../_images/fig_fc2781.png

(a) Force constants w.r.t atomic distance

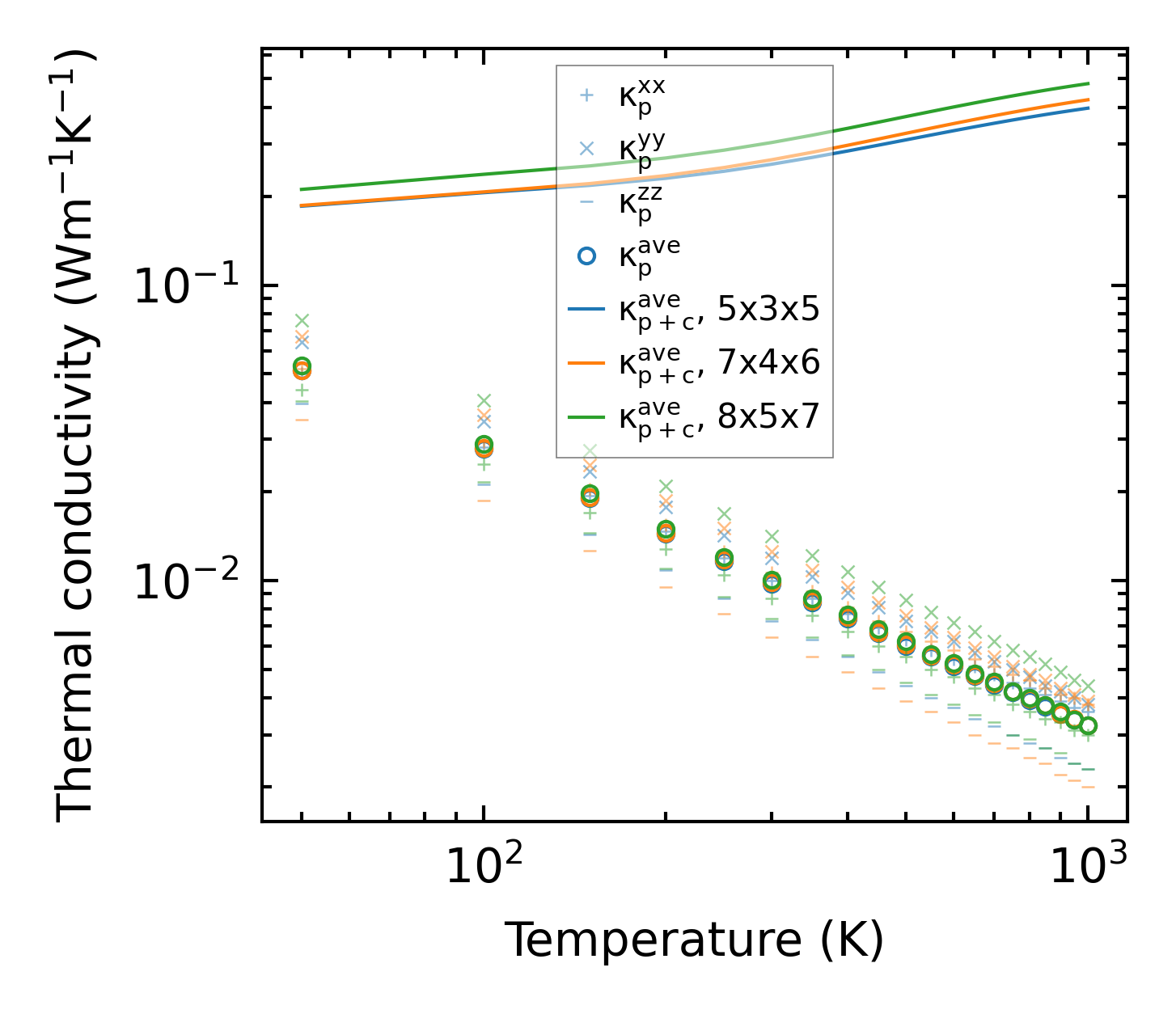
Summary

../../_images/fig_kappa1086.png

(a) Temperature-dependent lattice thermal conductivity

../../_images/fig_times1312.png

(b) Computation time