mp-995204/H4C6O/anharm

Harmonic properties

../../_images/fig_bandos_pr884.png

(a) Phonon dispersion with participation ratio and DOS

../../_images/fig_thermo884.png

(b) Thermodynamic properties

Grüneisen parameters

../../_images/fig_gru_all554.png

(a) Grüneisen parameters

../../_images/fig_gruneisen554.png

(b) Phonon dispersion with Grüneisen parameters

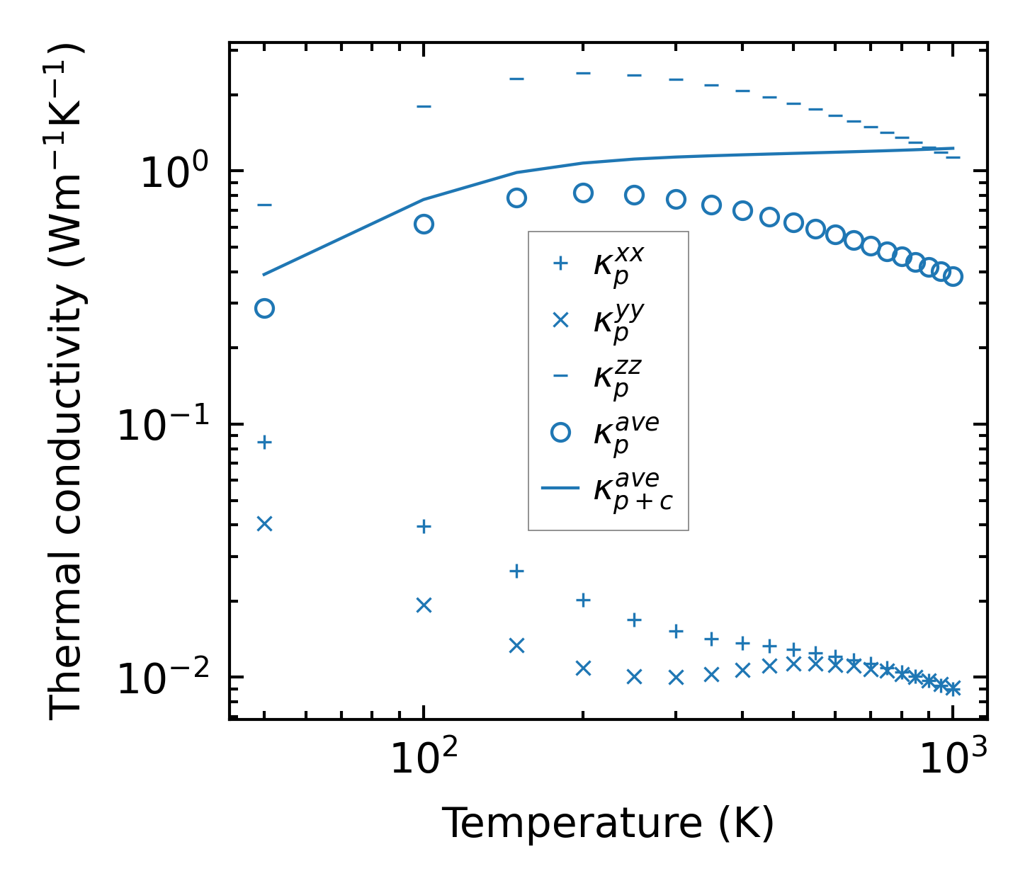
Thermal conductivity

3-phonon (LASSO) — q-mesh: 9x12x7, supercell: 1x2x1

../../_images/fig_kappa1079.png

(a) Temperature-dependent lattice thermal conductivity

../../_images/fig_kappa_vs_grain_size561.png

(b) Peierls lattice thermal conductivity w.r.t grain size

Phonon lifetime and scattering rates

../../_images/fig_lifetime552.png

(a) Phonon lifetime due to phonon-phonon scattering

../../_images/fig_scat_rates551.png

(b) Phonon scattering rates

Cumulative and spectral thermal conductivity

../../_images/fig_cumu_frequency552.png

(a) Spectral and cumulative thermal conductivity w.r.t frequency

../../_images/fig_cumu_mfp552.png

(b) Spectral and cumulative thermal conductivity w.r.t MFP

Force constants

../../_images/fig_fc2778.png

(a) Force constants w.r.t atomic distance

Summary

../../_images/fig_kappa1080.png

(a) Temperature-dependent lattice thermal conductivity

../../_images/fig_times1308.png

(b) Computation time