mp-995193/Si3H/anharm

Harmonic properties

../../_images/fig_bandos_pr880.png

(a) Phonon dispersion with participation ratio and DOS

../../_images/fig_thermo880.png

(b) Thermodynamic properties

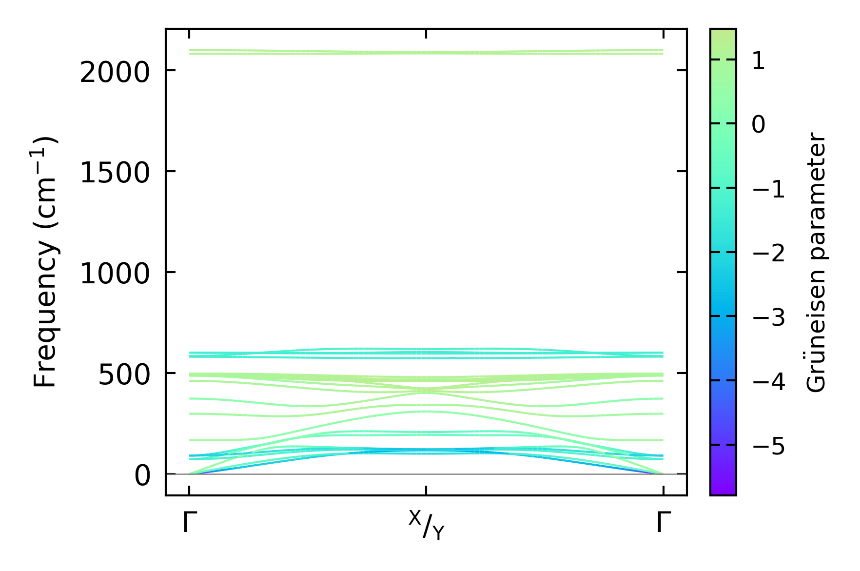
Grüneisen parameters

../../_images/fig_gru_all552.png

(a) Grüneisen parameters

../../_images/fig_gruneisen552.png

(b) Phonon dispersion with Grüneisen parameters

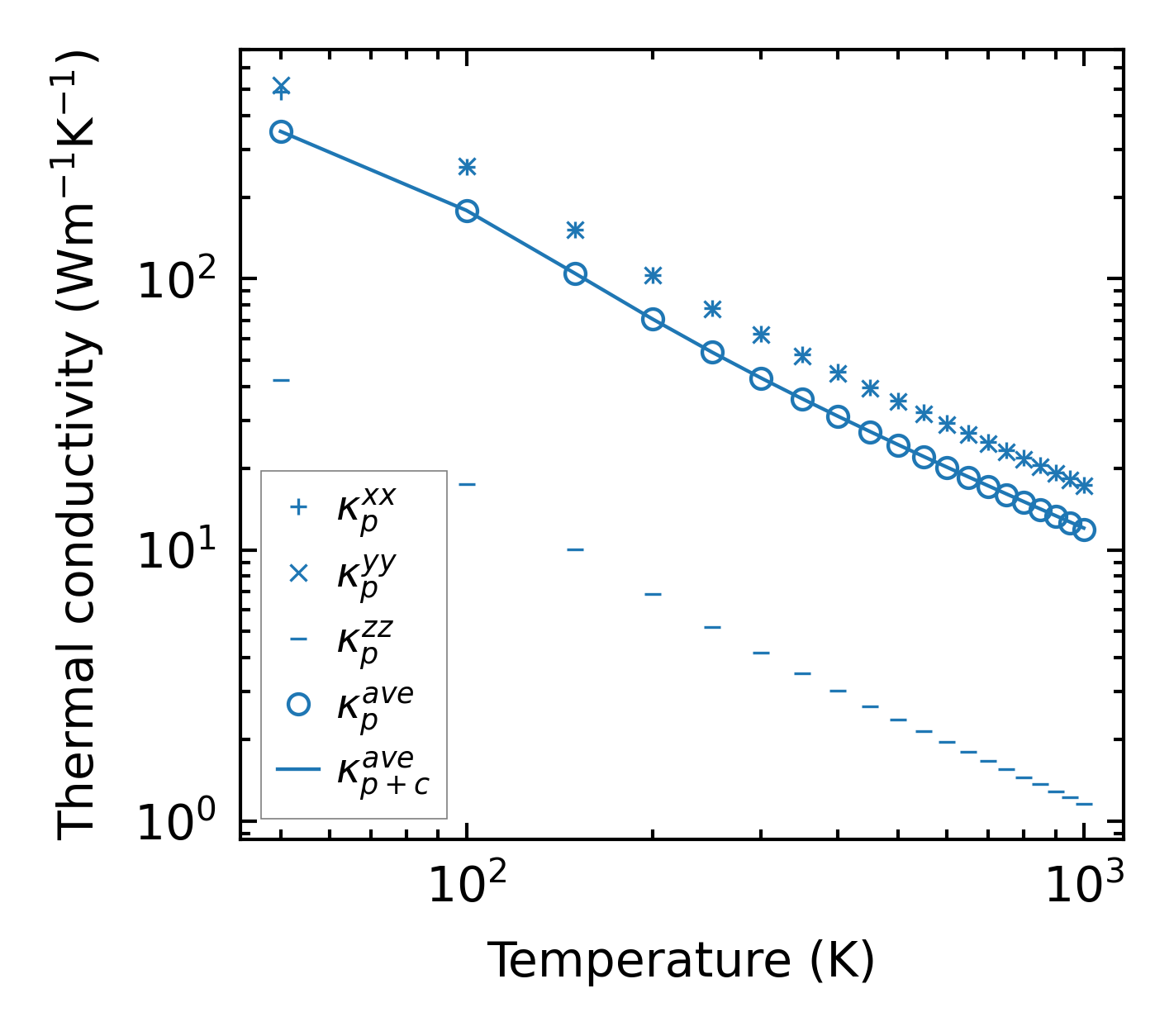
Thermal conductivity

3-phonon (LASSO) — q-mesh: 19x19x6, supercell: 4x4x1

../../_images/fig_kappa1076.png

(a) Temperature-dependent lattice thermal conductivity

../../_images/fig_kappa_vs_grain_size559.png

(b) Peierls lattice thermal conductivity w.r.t grain size

Phonon lifetime and scattering rates

../../_images/fig_lifetime550.png

(a) Phonon lifetime due to phonon-phonon scattering

../../_images/fig_scat_rates549.png

(b) Phonon scattering rates

Cumulative and spectral thermal conductivity

../../_images/fig_cumu_frequency550.png

(a) Spectral and cumulative thermal conductivity w.r.t frequency

../../_images/fig_cumu_mfp550.png

(b) Spectral and cumulative thermal conductivity w.r.t MFP

Force constants

../../_images/fig_fc2774.png

(a) Force constants w.r.t atomic distance

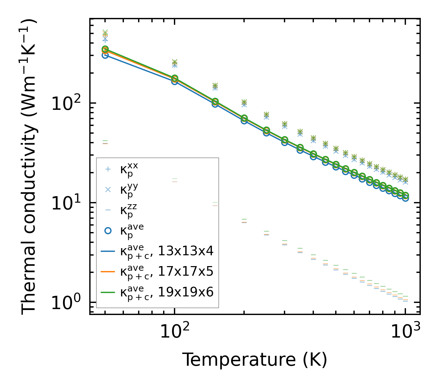
Summary

../../_images/fig_kappa1077.png

(a) Temperature-dependent lattice thermal conductivity

../../_images/fig_times1300.png

(b) Computation time