mp-977410/NbGaFe2/anharm

Harmonic properties

../../_images/fig_bandos_pr1054.png

(a) Phonon dispersion with participation ratio and DOS

../../_images/fig_thermo1054.png

(b) Thermodynamic properties

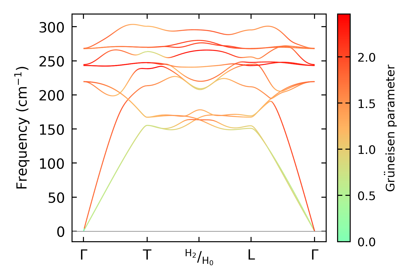
Grüneisen parameters

../../_images/fig_gru_all645.png

(a) Grüneisen parameters

../../_images/fig_gruneisen645.png

(b) Phonon dispersion with Grüneisen parameters

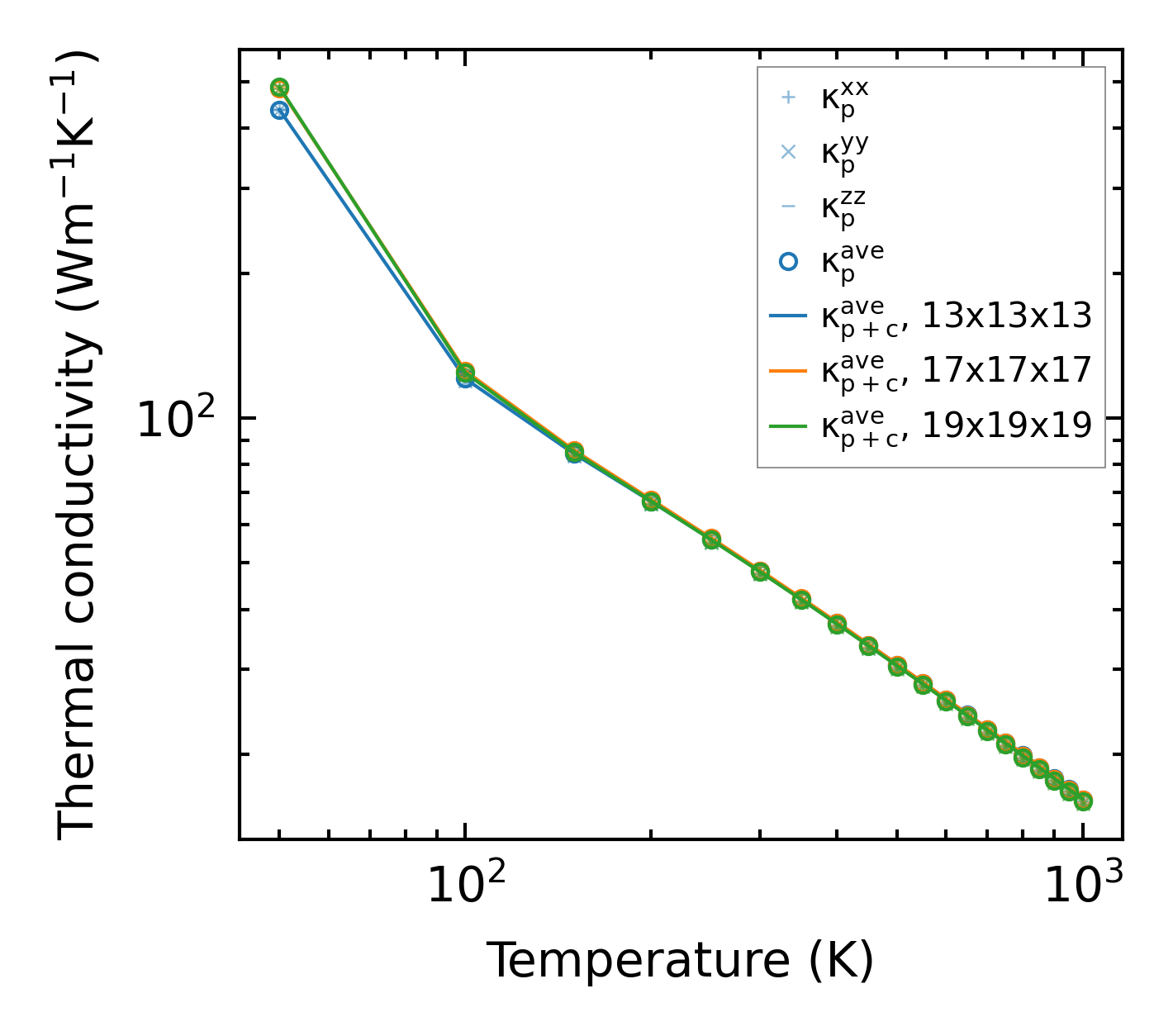
Thermal conductivity

3-phonon (LASSO) — q-mesh: 19x19x19, supercell: 3x3x1

../../_images/fig_kappa1256.png

(a) Temperature-dependent lattice thermal conductivity

../../_images/fig_kappa_vs_grain_size653.png

(b) Peierls lattice thermal conductivity w.r.t grain size

Phonon lifetime and scattering rates

../../_images/fig_lifetime643.png

(a) Phonon lifetime due to phonon-phonon scattering

../../_images/fig_scat_rates642.png

(b) Phonon scattering rates

Cumulative and spectral thermal conductivity

../../_images/fig_cumu_frequency643.png

(a) Spectral and cumulative thermal conductivity w.r.t frequency

../../_images/fig_cumu_mfp643.png

(b) Spectral and cumulative thermal conductivity w.r.t MFP

Force constants

../../_images/fig_fc2922.png

(a) Force constants w.r.t atomic distance

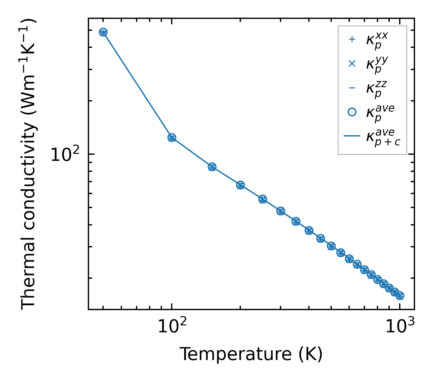
Summary

../../_images/fig_kappa1257.png

(a) Temperature-dependent lattice thermal conductivity

../../_images/fig_times1573.png

(b) Computation time