mp-977148/LiBeH3/anharm

Harmonic properties

../../_images/fig_bandos_pr1048.png

(a) Phonon dispersion with participation ratio and DOS

../../_images/fig_thermo1048.png

(b) Thermodynamic properties

Grüneisen parameters

../../_images/fig_gru_all641.png

(a) Grüneisen parameters

../../_images/fig_gruneisen641.png

(b) Phonon dispersion with Grüneisen parameters

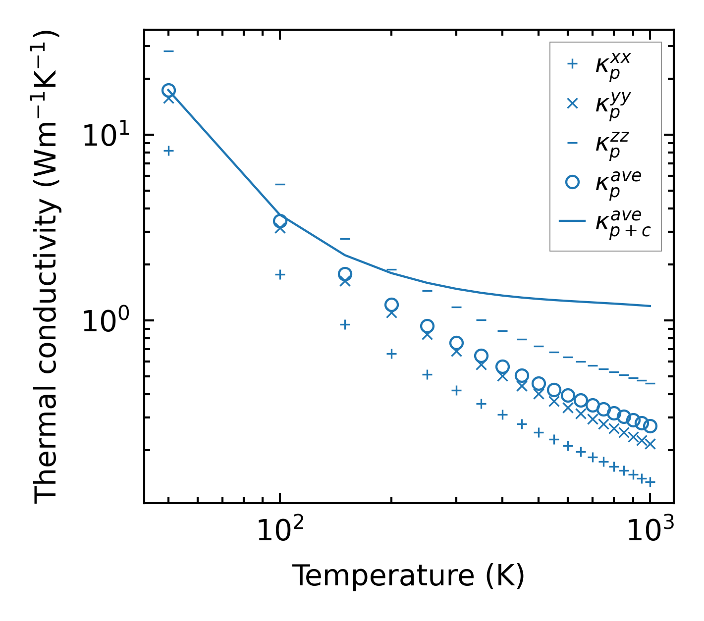
Thermal conductivity

3-phonon (LASSO) — q-mesh: 12x12x9, supercell: 1x2x1

../../_images/fig_kappa1248.png

(a) Temperature-dependent lattice thermal conductivity

../../_images/fig_kappa_vs_grain_size649.png

(b) Peierls lattice thermal conductivity w.r.t grain size

Phonon lifetime and scattering rates

../../_images/fig_lifetime639.png

(a) Phonon lifetime due to phonon-phonon scattering

../../_images/fig_scat_rates638.png

(b) Phonon scattering rates

Cumulative and spectral thermal conductivity

../../_images/fig_cumu_frequency639.png

(a) Spectral and cumulative thermal conductivity w.r.t frequency

../../_images/fig_cumu_mfp639.png

(b) Spectral and cumulative thermal conductivity w.r.t MFP

Force constants

../../_images/fig_fc2916.png

(a) Force constants w.r.t atomic distance

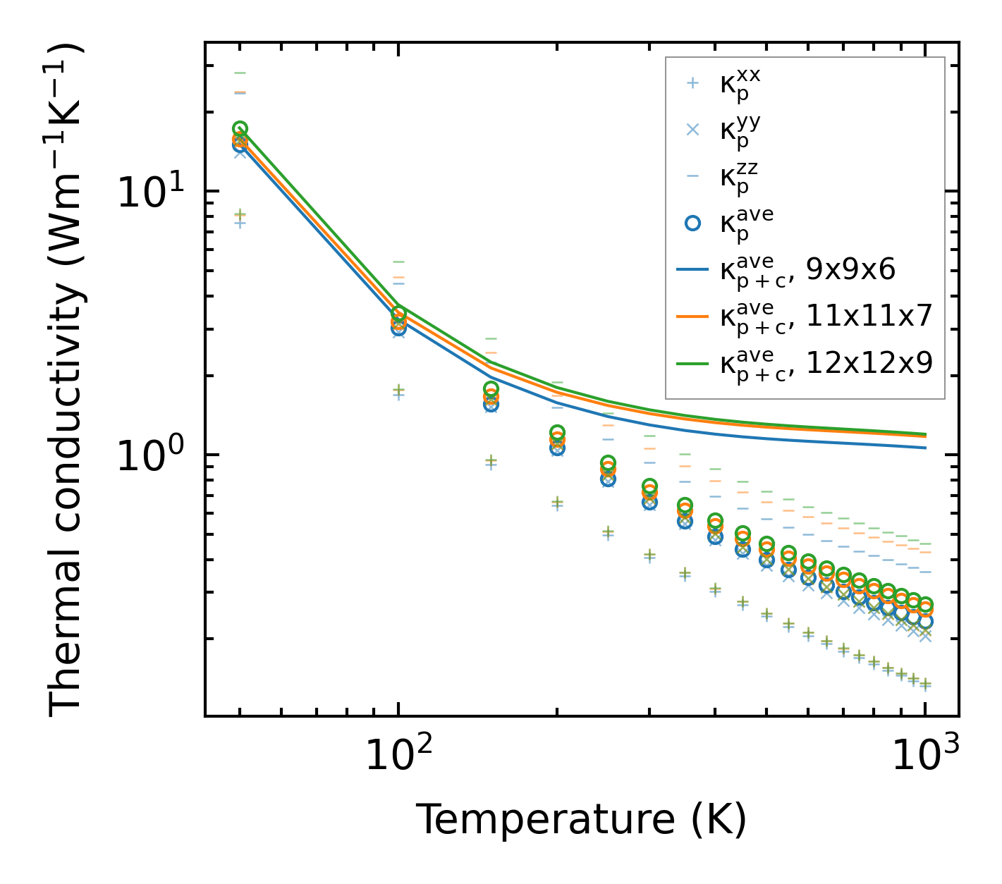
Summary

../../_images/fig_kappa1249.png

(a) Temperature-dependent lattice thermal conductivity

../../_images/fig_times1564.png

(b) Computation time