mp-977368/K2Dy4Cu4Se9/anharm

Harmonic properties

../../_images/fig_bandos_pr1052.png

(a) Phonon dispersion with participation ratio and DOS

../../_images/fig_thermo1052.png

(b) Thermodynamic properties

Grüneisen parameters

../../_images/fig_gru_all644.png

(a) Grüneisen parameters

../../_images/fig_gruneisen644.png

(b) Phonon dispersion with Grüneisen parameters

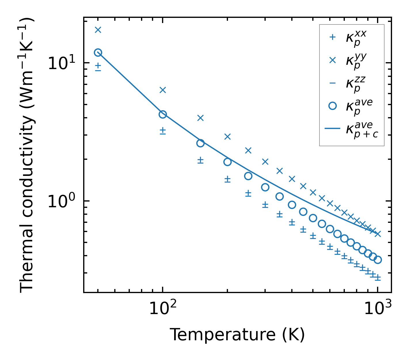
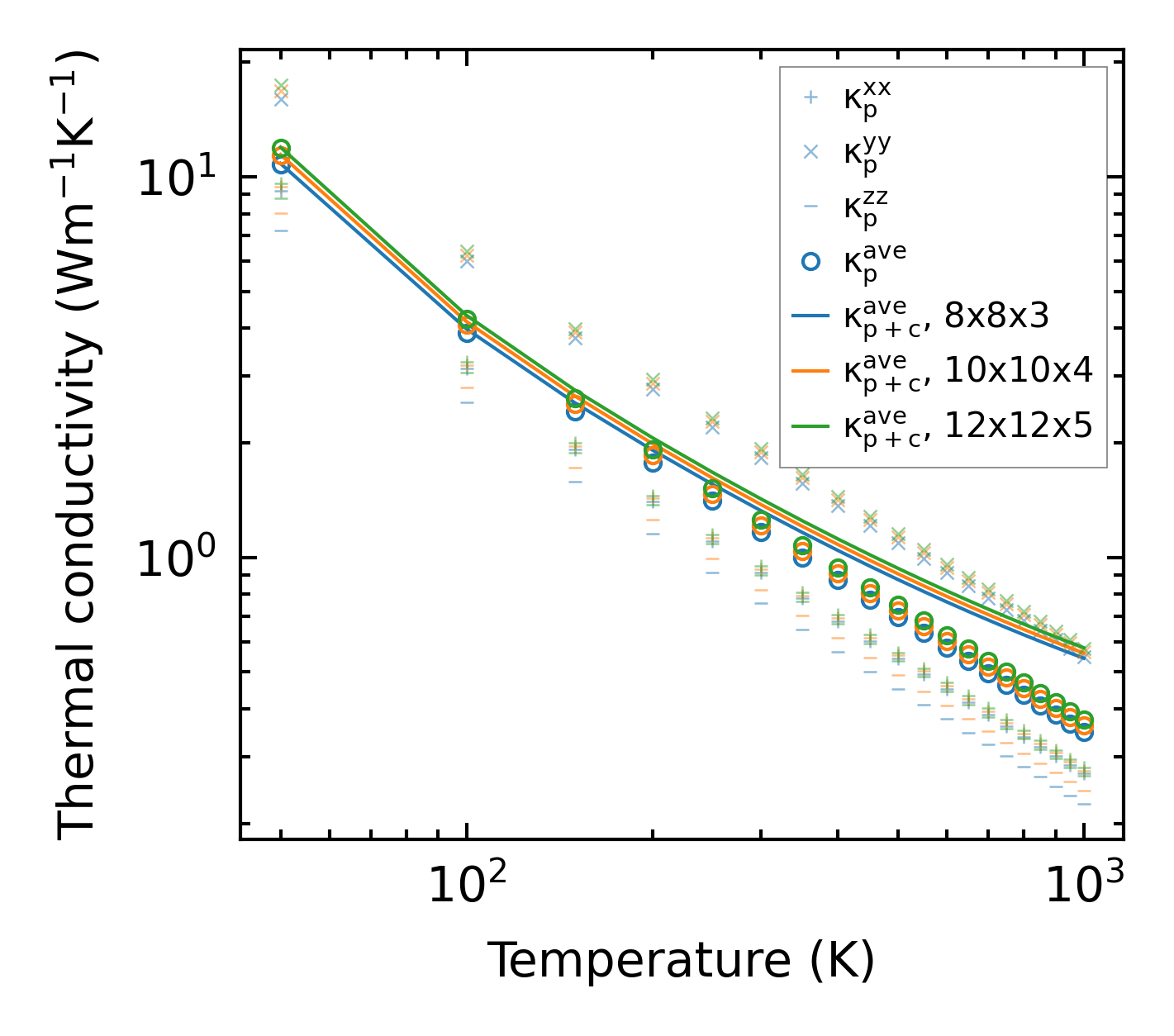
Thermal conductivity

3-phonon (LASSO) — q-mesh: 12x12x5, supercell: 1x3x1

../../_images/fig_kappa1254.png

(a) Temperature-dependent lattice thermal conductivity

../../_images/fig_kappa_vs_grain_size652.png

(b) Peierls lattice thermal conductivity w.r.t grain size

Phonon lifetime and scattering rates

../../_images/fig_lifetime642.png

(a) Phonon lifetime due to phonon-phonon scattering

../../_images/fig_scat_rates641.png

(b) Phonon scattering rates

Cumulative and spectral thermal conductivity

../../_images/fig_cumu_frequency642.png

(a) Spectral and cumulative thermal conductivity w.r.t frequency

../../_images/fig_cumu_mfp642.png

(b) Spectral and cumulative thermal conductivity w.r.t MFP

Force constants

../../_images/fig_fc2920.png

(a) Force constants w.r.t atomic distance

Summary

../../_images/fig_kappa1255.png

(a) Temperature-dependent lattice thermal conductivity

../../_images/fig_times1569.png

(b) Computation time