mp-974713/K2H4Pt/anharm

Harmonic properties

../../_images/fig_bandos_pr1025.png

(a) Phonon dispersion with participation ratio and DOS

../../_images/fig_thermo1025.png

(b) Thermodynamic properties

Grüneisen parameters

../../_images/fig_gru_all627.png

(a) Grüneisen parameters

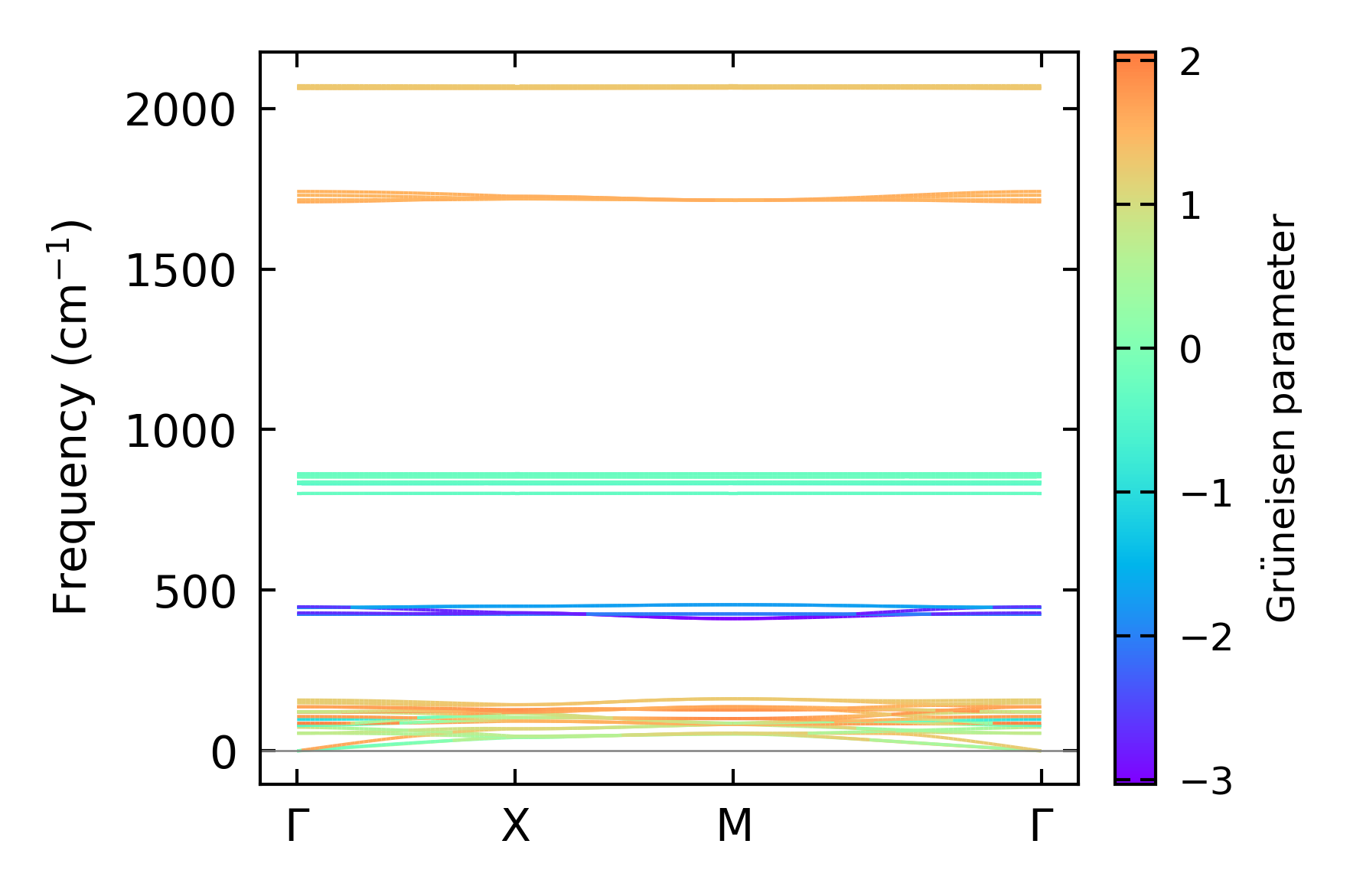
../../_images/fig_gruneisen627.png

(b) Phonon dispersion with Grüneisen parameters

Thermal conductivity

3-phonon (LASSO) — q-mesh: 13x13x9, supercell: 2x2x2

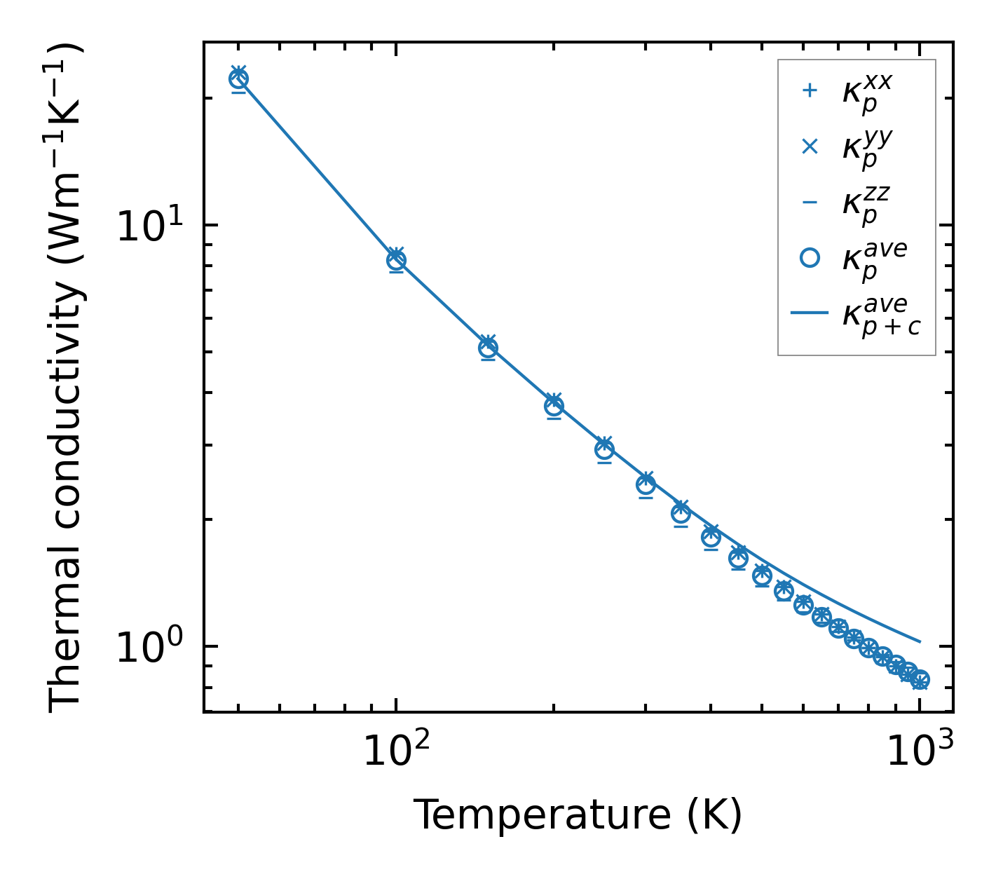
../../_images/fig_kappa1220.png

(a) Temperature-dependent lattice thermal conductivity

../../_images/fig_kappa_vs_grain_size635.png

(b) Peierls lattice thermal conductivity w.r.t grain size

Phonon lifetime and scattering rates

../../_images/fig_lifetime625.png

(a) Phonon lifetime due to phonon-phonon scattering

../../_images/fig_scat_rates624.png

(b) Phonon scattering rates

Cumulative and spectral thermal conductivity

../../_images/fig_cumu_frequency625.png

(a) Spectral and cumulative thermal conductivity w.r.t frequency

../../_images/fig_cumu_mfp625.png

(b) Spectral and cumulative thermal conductivity w.r.t MFP

Force constants

../../_images/fig_fc2894.png

(a) Force constants w.r.t atomic distance

Summary

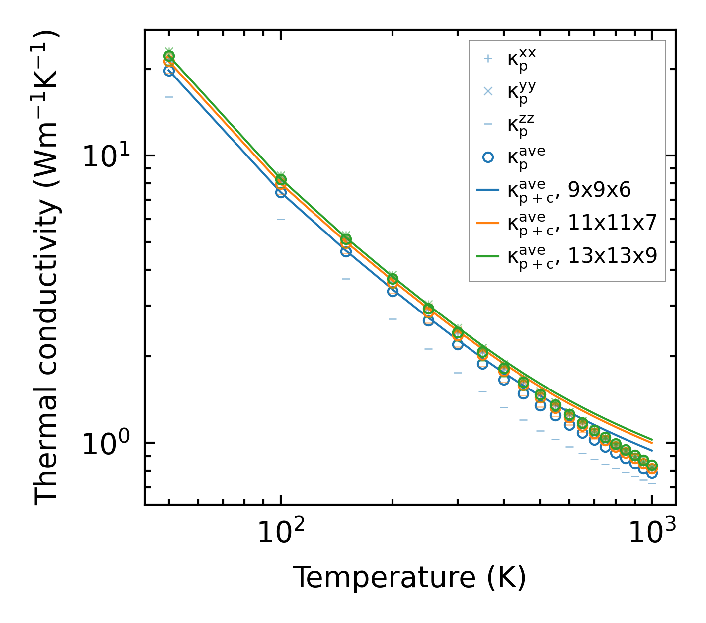
../../_images/fig_kappa1221.png

(a) Temperature-dependent lattice thermal conductivity

../../_images/fig_times1528.png

(b) Computation time