mp-974682/RbGaH2/anharm

Harmonic properties

../../_images/fig_bandos_pr1024.png

(a) Phonon dispersion with participation ratio and DOS

../../_images/fig_thermo1024.png

(b) Thermodynamic properties

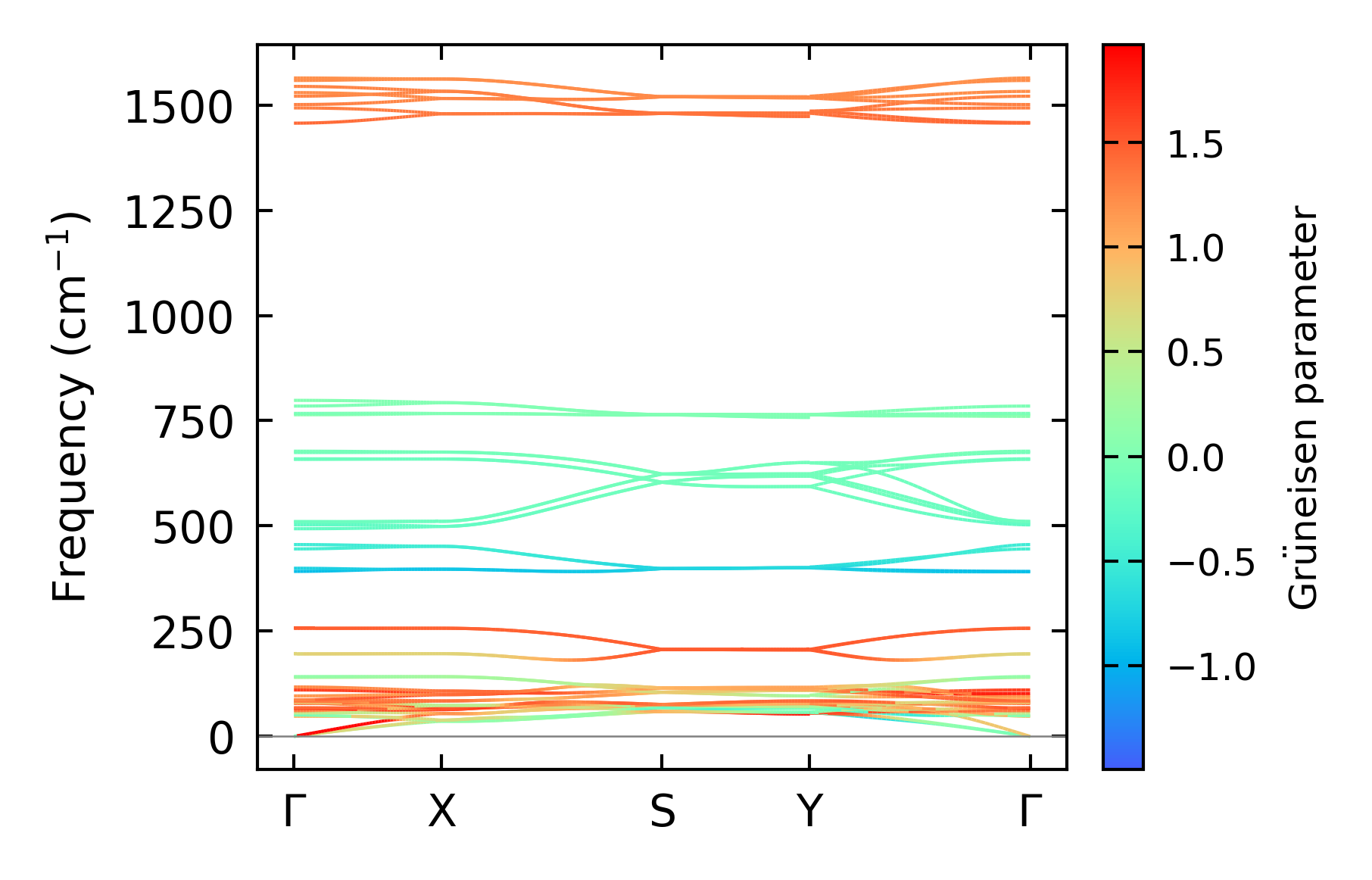
Grüneisen parameters

../../_images/fig_gru_all626.png

(a) Grüneisen parameters

../../_images/fig_gruneisen626.png

(b) Phonon dispersion with Grüneisen parameters

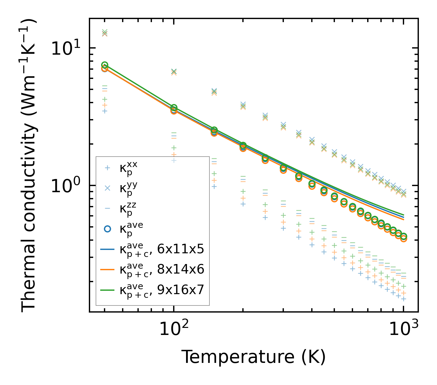
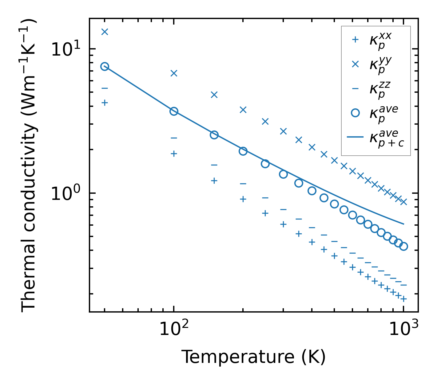
Thermal conductivity

3-phonon (LASSO) — q-mesh: 9x16x7, supercell: 2x3x1

../../_images/fig_kappa1218.png

(a) Temperature-dependent lattice thermal conductivity

../../_images/fig_kappa_vs_grain_size634.png

(b) Peierls lattice thermal conductivity w.r.t grain size

Phonon lifetime and scattering rates

../../_images/fig_lifetime624.png

(a) Phonon lifetime due to phonon-phonon scattering

../../_images/fig_scat_rates623.png

(b) Phonon scattering rates

Cumulative and spectral thermal conductivity

../../_images/fig_cumu_frequency624.png

(a) Spectral and cumulative thermal conductivity w.r.t frequency

../../_images/fig_cumu_mfp624.png

(b) Spectral and cumulative thermal conductivity w.r.t MFP

Force constants

../../_images/fig_fc2893.png

(a) Force constants w.r.t atomic distance

Summary

../../_images/fig_kappa1219.png

(a) Temperature-dependent lattice thermal conductivity

../../_images/fig_times1527.png

(b) Computation time