mp-974381/Rh2S3/anharm

Harmonic properties

../../_images/fig_bandos_pr1018.png

(a) Phonon dispersion with participation ratio and DOS

../../_images/fig_thermo1018.png

(b) Thermodynamic properties

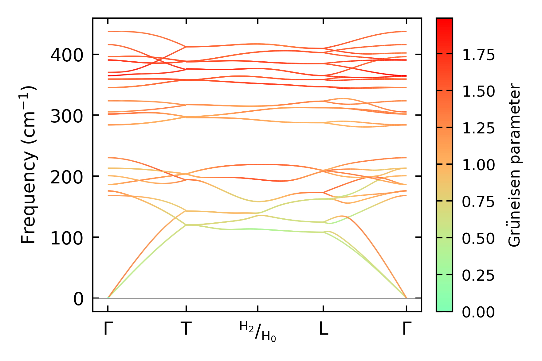
Grüneisen parameters

../../_images/fig_gru_all625.png

(a) Grüneisen parameters

../../_images/fig_gruneisen625.png

(b) Phonon dispersion with Grüneisen parameters

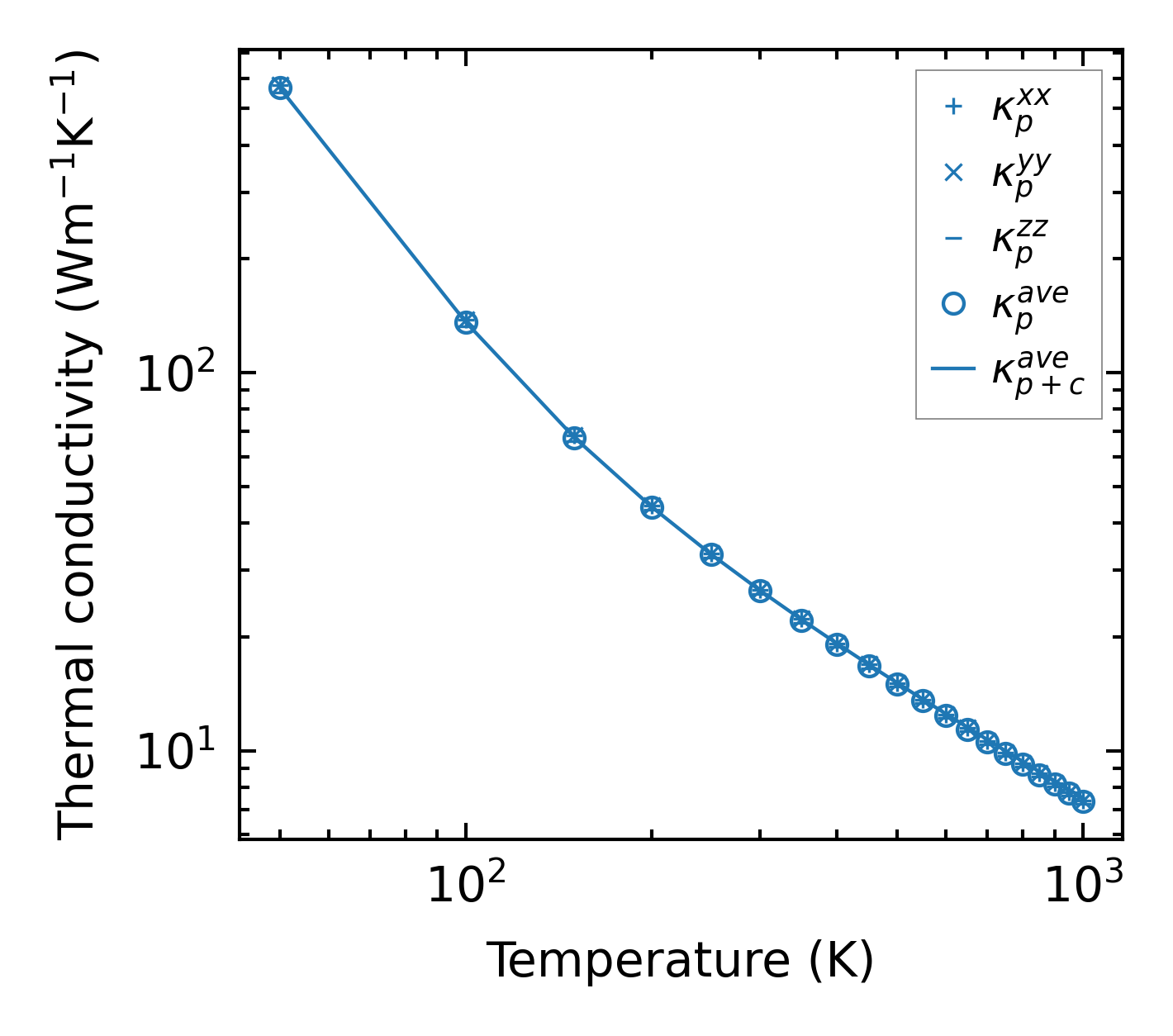
Thermal conductivity

3-phonon (LASSO) — q-mesh: 13x13x13, supercell: 2x2x1

../../_images/fig_kappa1216.png

(a) Temperature-dependent lattice thermal conductivity

../../_images/fig_kappa_vs_grain_size633.png

(b) Peierls lattice thermal conductivity w.r.t grain size

Phonon lifetime and scattering rates

../../_images/fig_lifetime623.png

(a) Phonon lifetime due to phonon-phonon scattering

../../_images/fig_scat_rates622.png

(b) Phonon scattering rates

Cumulative and spectral thermal conductivity

../../_images/fig_cumu_frequency623.png

(a) Spectral and cumulative thermal conductivity w.r.t frequency

../../_images/fig_cumu_mfp623.png

(b) Spectral and cumulative thermal conductivity w.r.t MFP

Force constants

../../_images/fig_fc2887.png

(a) Force constants w.r.t atomic distance

Summary

../../_images/fig_kappa1217.png

(a) Temperature-dependent lattice thermal conductivity

../../_images/fig_times1519.png

(b) Computation time