mp-973783-2/H2/anharm

Equation of state

../../_images/fig_bm360.png

(a) Equation of state

Harmonic properties

../../_images/fig_bandos_pr1013.png

(a) Phonon dispersion with participation ratio and DOS

../../_images/fig_thermo1013.png

(b) Thermodynamic properties

Grüneisen parameters

../../_images/fig_gru_all623.png

(a) Grüneisen parameters

../../_images/fig_gruneisen623.png

(b) Phonon dispersion with Grüneisen parameters

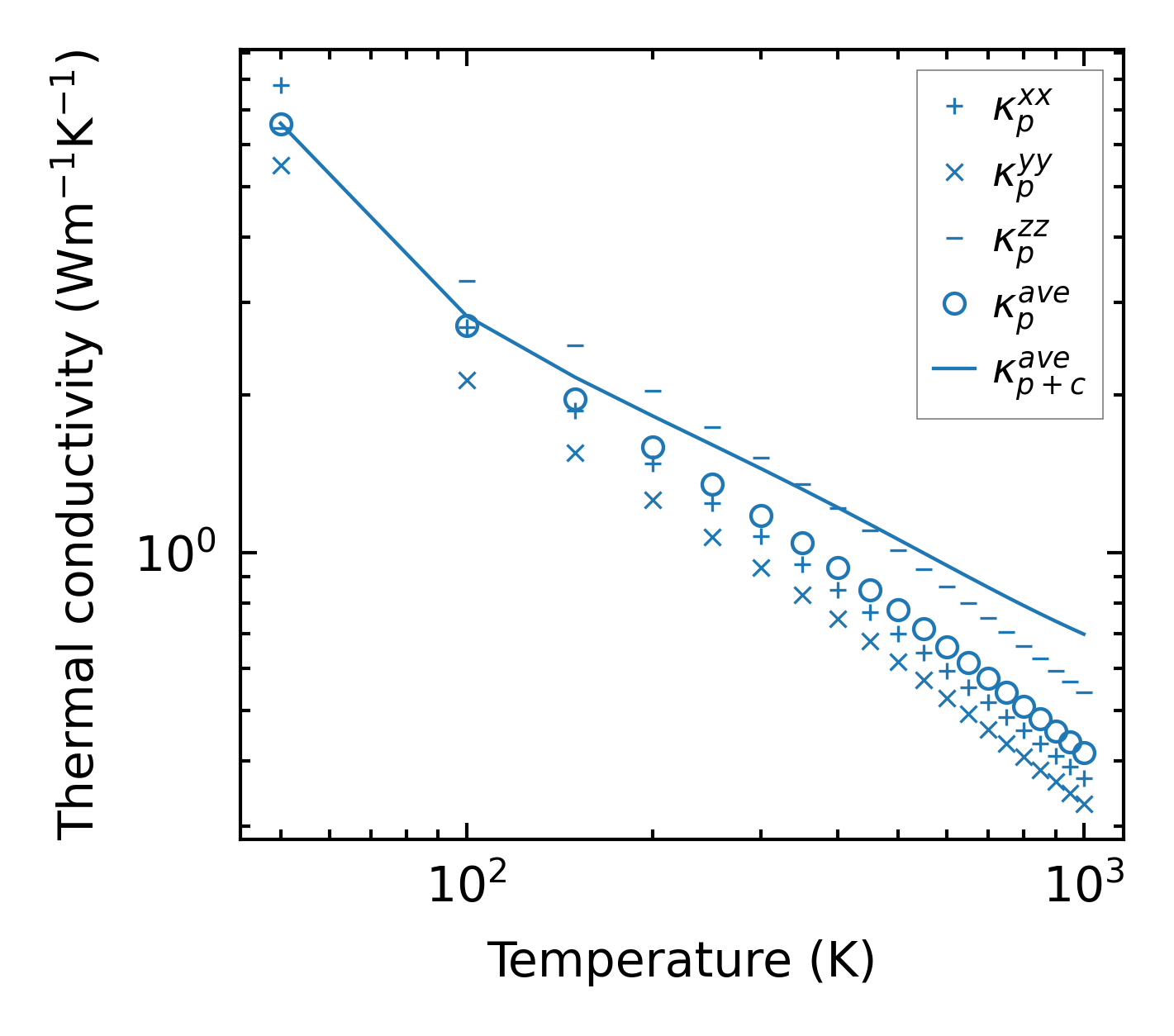
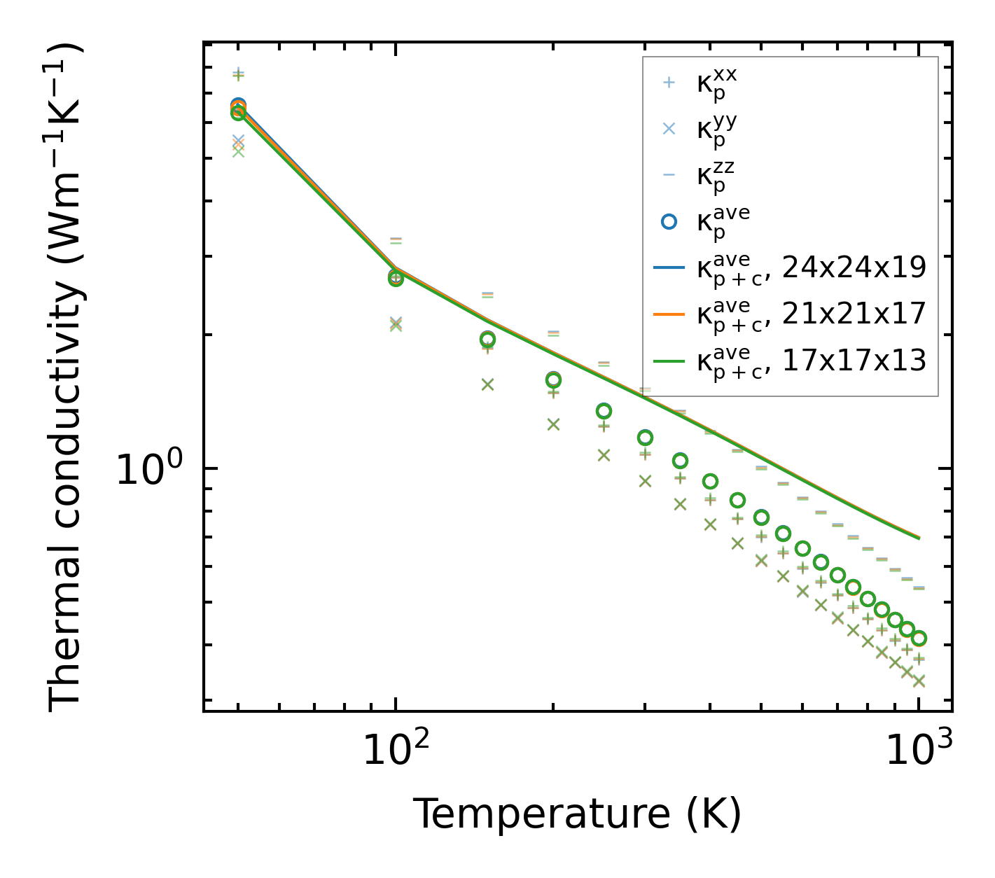
Thermal conductivity

3-phonon (LASSO) — q-mesh: 24x24x19, supercell: 4x3x3

../../_images/fig_kappa1212.png

(a) Temperature-dependent lattice thermal conductivity

../../_images/fig_kappa_vs_grain_size631.png

(b) Peierls lattice thermal conductivity w.r.t grain size

Phonon lifetime and scattering rates

../../_images/fig_lifetime621.png

(a) Phonon lifetime due to phonon-phonon scattering

../../_images/fig_scat_rates620.png

(b) Phonon scattering rates

Cumulative and spectral thermal conductivity

../../_images/fig_cumu_frequency621.png

(a) Spectral and cumulative thermal conductivity w.r.t frequency

../../_images/fig_cumu_mfp621.png

(b) Spectral and cumulative thermal conductivity w.r.t MFP

Force constants

../../_images/fig_fc2882.png

(a) Force constants w.r.t atomic distance

Summary

../../_images/fig_kappa1213.png

(a) Temperature-dependent lattice thermal conductivity

../../_images/fig_times1512.png

(b) Computation time