mp-973391/LiSiB6/anharm

Harmonic properties

../../_images/fig_bandos_pr1009.png

(a) Phonon dispersion with participation ratio and DOS

../../_images/fig_thermo1009.png

(b) Thermodynamic properties

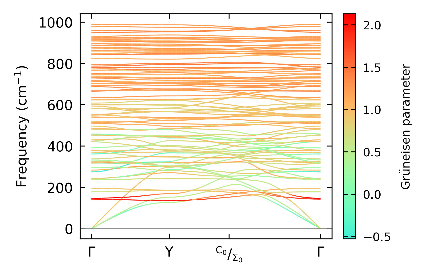
Grüneisen parameters

../../_images/fig_gru_all620.png

(a) Grüneisen parameters

../../_images/fig_gruneisen620.png

(b) Phonon dispersion with Grüneisen parameters

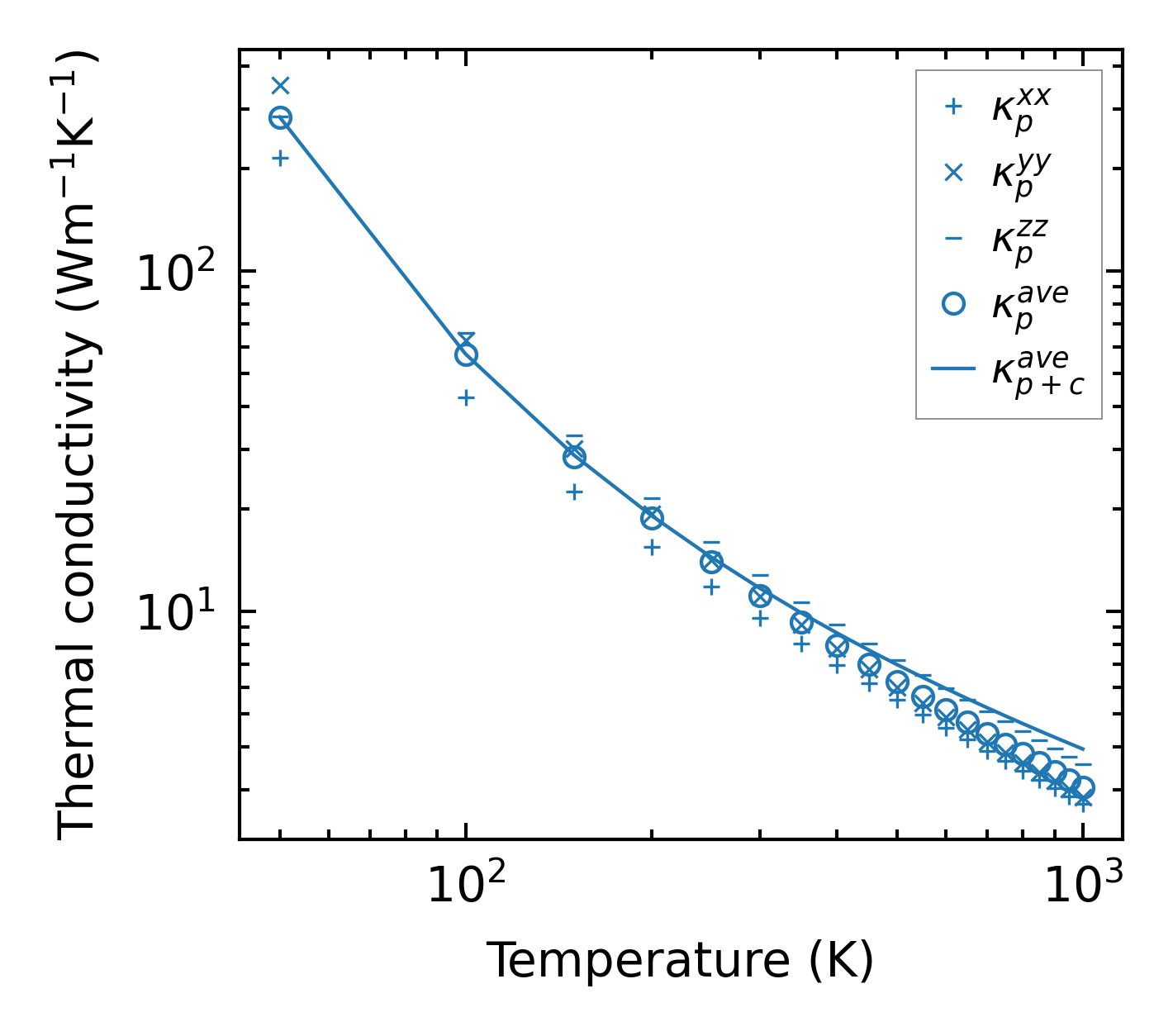
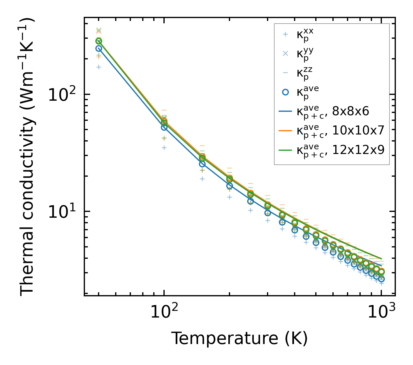
Thermal conductivity

3-phonon (LASSO) — q-mesh: 12x12x9, supercell: 2x1x1

../../_images/fig_kappa1207.png

(a) Temperature-dependent lattice thermal conductivity

../../_images/fig_kappa_vs_grain_size628.png

(b) Peierls lattice thermal conductivity w.r.t grain size

Phonon lifetime and scattering rates

../../_images/fig_lifetime618.png

(a) Phonon lifetime due to phonon-phonon scattering

../../_images/fig_scat_rates617.png

(b) Phonon scattering rates

Cumulative and spectral thermal conductivity

../../_images/fig_cumu_frequency618.png

(a) Spectral and cumulative thermal conductivity w.r.t frequency

../../_images/fig_cumu_mfp618.png

(b) Spectral and cumulative thermal conductivity w.r.t MFP

Force constants

../../_images/fig_fc2878.png

(a) Force constants w.r.t atomic distance

Summary

../../_images/fig_kappa1208.png

(a) Temperature-dependent lattice thermal conductivity

../../_images/fig_times1504.png

(b) Computation time