mp-973585/LuIO/anharm

Harmonic properties

../../_images/fig_bandos_pr1010.png

(a) Phonon dispersion with participation ratio and DOS

../../_images/fig_thermo1010.png

(b) Thermodynamic properties

Grüneisen parameters

../../_images/fig_gru_all621.png

(a) Grüneisen parameters

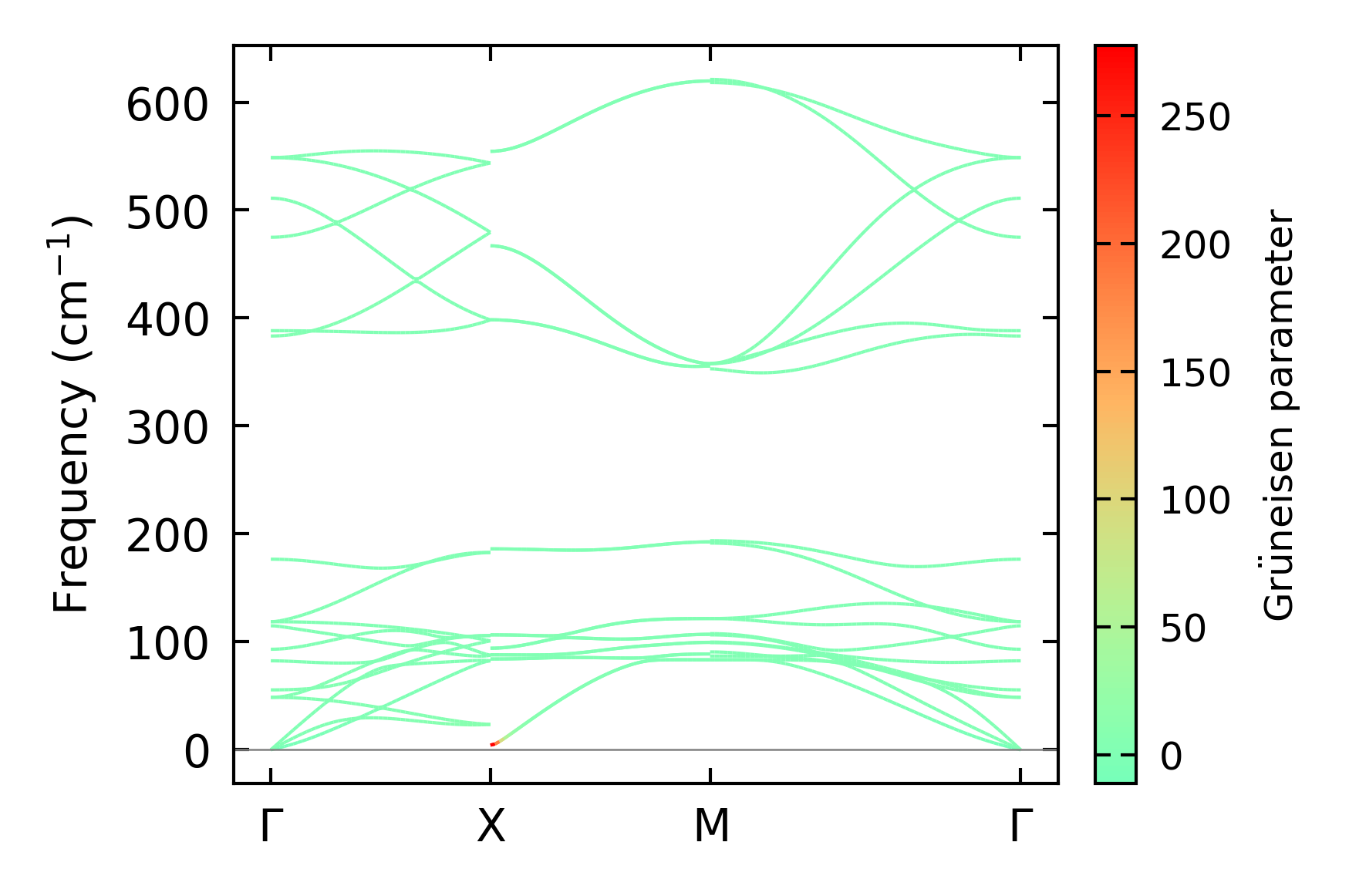
../../_images/fig_gruneisen621.png

(b) Phonon dispersion with Grüneisen parameters

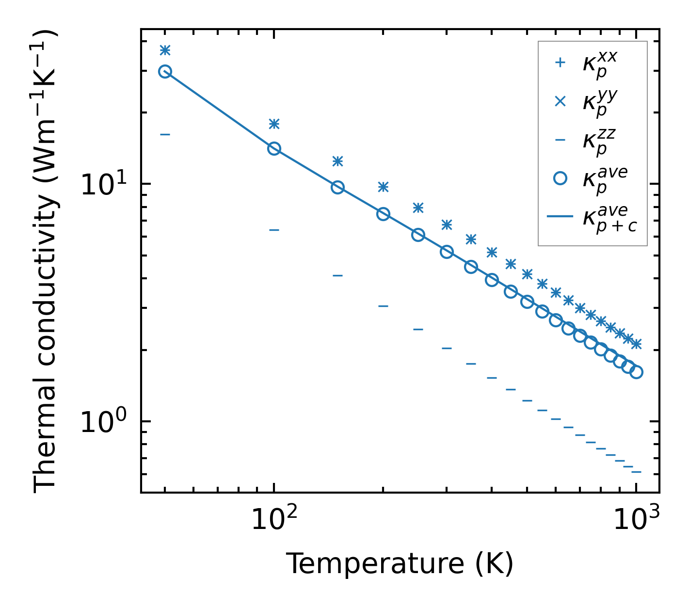
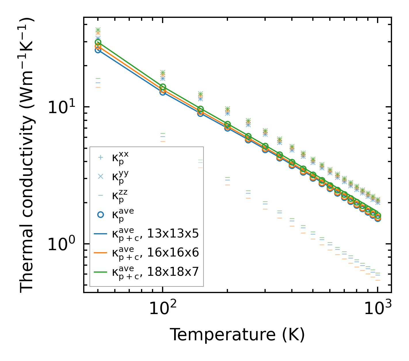
Thermal conductivity

3-phonon (LASSO) — q-mesh: 18x18x7, supercell: 3x3x2

../../_images/fig_kappa1209.png

(a) Temperature-dependent lattice thermal conductivity

../../_images/fig_kappa_vs_grain_size629.png

(b) Peierls lattice thermal conductivity w.r.t grain size

Phonon lifetime and scattering rates

../../_images/fig_lifetime619.png

(a) Phonon lifetime due to phonon-phonon scattering

../../_images/fig_scat_rates618.png

(b) Phonon scattering rates

Cumulative and spectral thermal conductivity

../../_images/fig_cumu_frequency619.png

(a) Spectral and cumulative thermal conductivity w.r.t frequency

../../_images/fig_cumu_mfp619.png

(b) Spectral and cumulative thermal conductivity w.r.t MFP

Force constants

../../_images/fig_fc2879.png

(a) Force constants w.r.t atomic distance

Summary

../../_images/fig_kappa1210.png

(a) Temperature-dependent lattice thermal conductivity

../../_images/fig_times1507.png

(b) Computation time