mp-864993/DyB4Mo/anharm

Harmonic properties

../../_images/fig_bandos_pr1553.png

(a) Phonon dispersion with participation ratio and DOS

../../_images/fig_thermo1553.png

(b) Thermodynamic properties

Grüneisen parameters

../../_images/fig_gru_all929.png

(a) Grüneisen parameters

../../_images/fig_gruneisen929.png

(b) Phonon dispersion with Grüneisen parameters

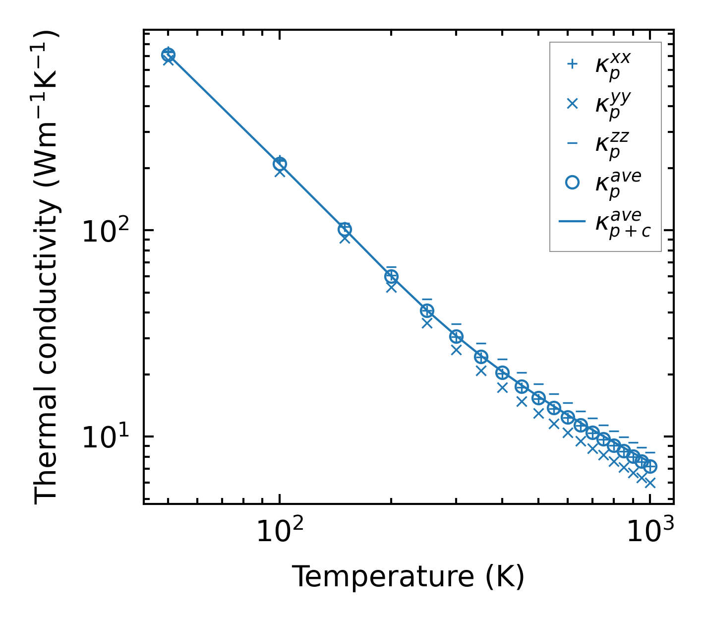
Thermal conductivity

3-phonon (LASSO) — q-mesh: 11x6x20, supercell: 2x1x3

../../_images/fig_kappa1804.png

(a) Temperature-dependent lattice thermal conductivity

../../_images/fig_kappa_vs_grain_size939.png

(b) Peierls lattice thermal conductivity w.r.t grain size

Phonon lifetime and scattering rates

../../_images/fig_lifetime922.png

(a) Phonon lifetime due to phonon-phonon scattering

../../_images/fig_scat_rates921.png

(b) Phonon scattering rates

Cumulative and spectral thermal conductivity

../../_images/fig_cumu_frequency922.png

(a) Spectral and cumulative thermal conductivity w.r.t frequency

../../_images/fig_cumu_mfp922.png

(b) Spectral and cumulative thermal conductivity w.r.t MFP

Force constants

../../_images/fig_fc21398.png

(a) Force constants w.r.t atomic distance

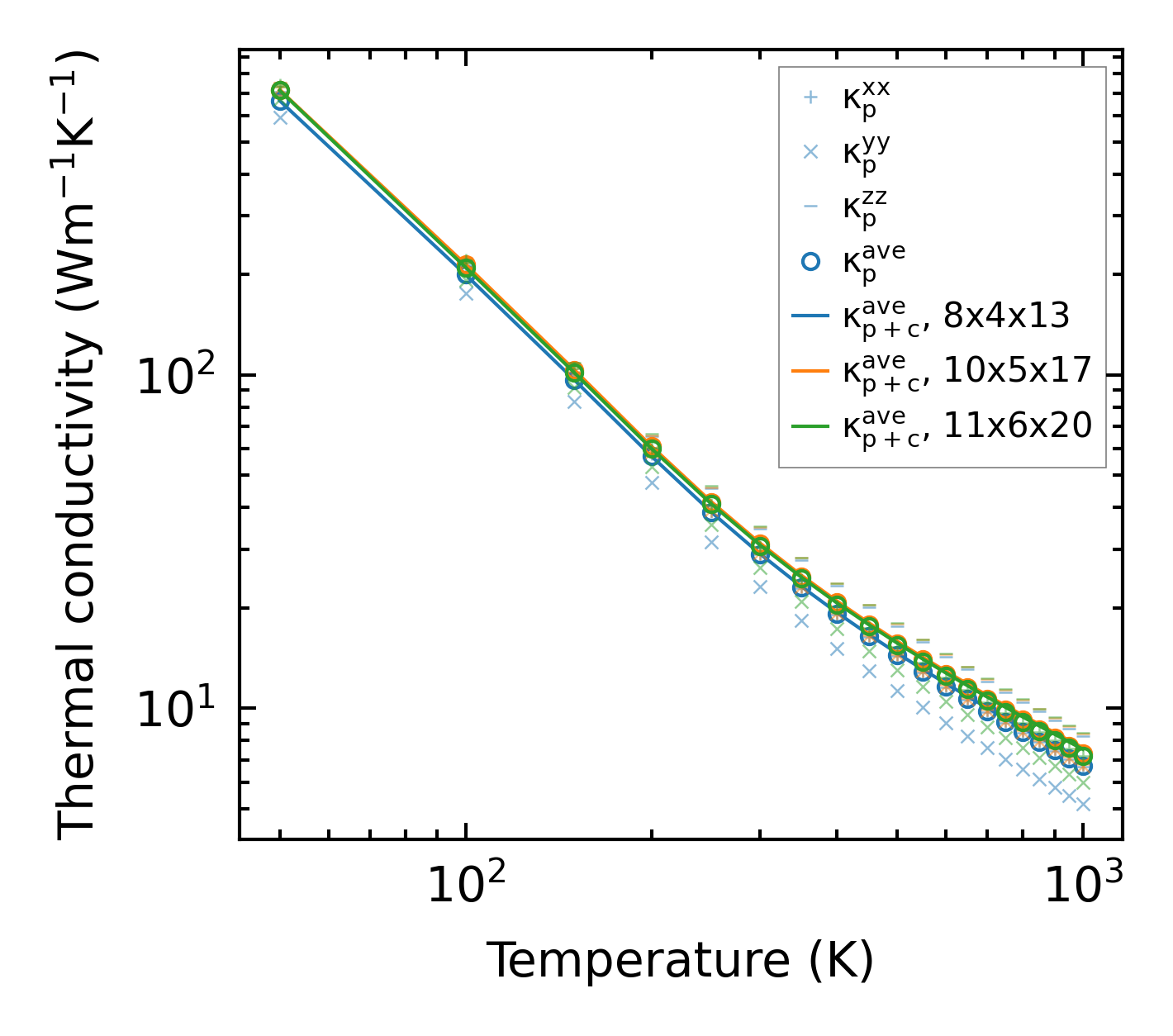
Summary

../../_images/fig_kappa1805.png

(a) Temperature-dependent lattice thermal conductivity

../../_images/fig_times2324.png

(b) Computation time