mp-864954/MgMoN2/anharm

Harmonic properties

../../_images/fig_bandos_pr1552.png

(a) Phonon dispersion with participation ratio and DOS

../../_images/fig_thermo1552.png

(b) Thermodynamic properties

Grüneisen parameters

../../_images/fig_gru_all928.png

(a) Grüneisen parameters

../../_images/fig_gruneisen928.png

(b) Phonon dispersion with Grüneisen parameters

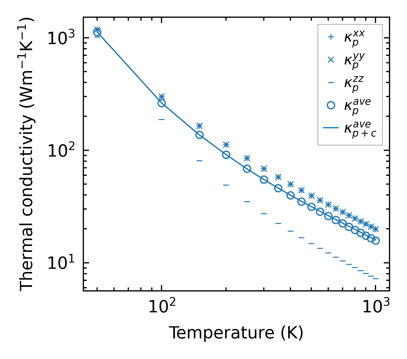
Thermal conductivity

3-phonon (LASSO) — q-mesh: 26x26x7, supercell: 4x4x1

../../_images/fig_kappa1802.png

(a) Temperature-dependent lattice thermal conductivity

../../_images/fig_kappa_vs_grain_size938.png

(b) Peierls lattice thermal conductivity w.r.t grain size

Phonon lifetime and scattering rates

../../_images/fig_lifetime921.png

(a) Phonon lifetime due to phonon-phonon scattering

../../_images/fig_scat_rates920.png

(b) Phonon scattering rates

Cumulative and spectral thermal conductivity

../../_images/fig_cumu_frequency921.png

(a) Spectral and cumulative thermal conductivity w.r.t frequency

../../_images/fig_cumu_mfp921.png

(b) Spectral and cumulative thermal conductivity w.r.t MFP

Force constants

../../_images/fig_fc21397.png

(a) Force constants w.r.t atomic distance

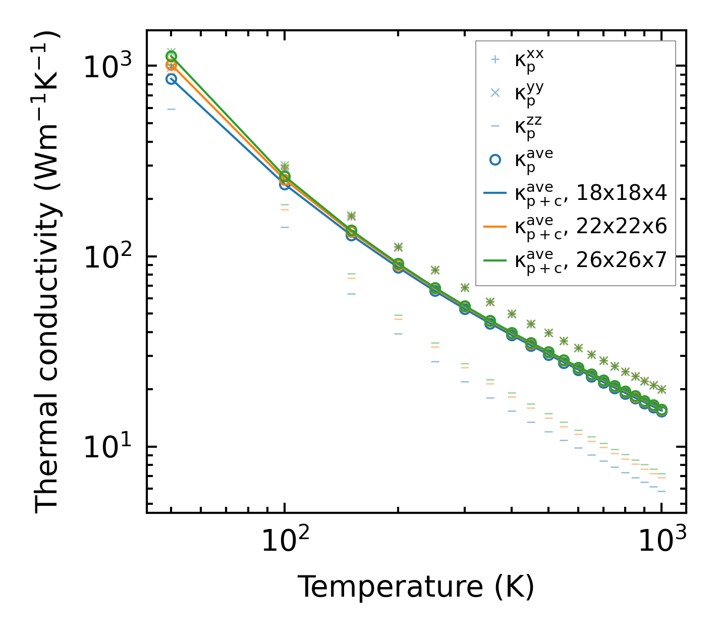
Summary

../../_images/fig_kappa1803.png

(a) Temperature-dependent lattice thermal conductivity

../../_images/fig_times2321.png

(b) Computation time