mp-767409/Li5SbS/anharm

Harmonic properties

../../_images/fig_bandos_pr2791.png

(a) Phonon dispersion with participation ratio and DOS

../../_images/fig_thermo2791.png

(b) Thermodynamic properties

Grüneisen parameters

../../_images/fig_gru_all1383.png

(a) Grüneisen parameters

../../_images/fig_gruneisen1383.png

(b) Phonon dispersion with Grüneisen parameters

Thermal conductivity

3-phonon (LASSO) — q-mesh: 16x16x11, supercell: 3x3x2

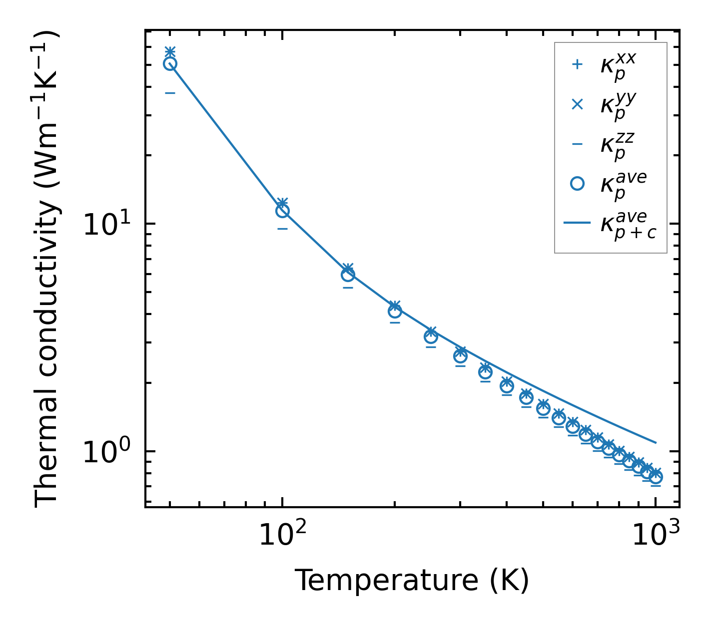
../../_images/fig_kappa2667.png

(a) Temperature-dependent lattice thermal conductivity

../../_images/fig_kappa_vs_grain_size1399.png

(b) Peierls lattice thermal conductivity w.r.t grain size

Phonon lifetime and scattering rates

../../_images/fig_lifetime1373.png

(a) Phonon lifetime due to phonon-phonon scattering

../../_images/fig_scat_rates1372.png

(b) Phonon scattering rates

Cumulative and spectral thermal conductivity

../../_images/fig_cumu_frequency1373.png

(a) Spectral and cumulative thermal conductivity w.r.t frequency

../../_images/fig_cumu_mfp1373.png

(b) Spectral and cumulative thermal conductivity w.r.t MFP

Force constants

../../_images/fig_fc22612.png

(a) Force constants w.r.t atomic distance

Summary

../../_images/fig_kappa2668.png

(a) Temperature-dependent lattice thermal conductivity

../../_images/fig_times4694.png

(b) Computation time