mp-767146/Li7Ti12NbO30/harm

Harmonic properties

../../_images/fig_bandos_pr2785.png

(a) Phonon dispersion with participation ratio and DOS

../../_images/fig_bandos3442.png

(b) Phonon dispersion and DOS

../../_images/fig_thermo2785.png

(c) Thermodynamic properties

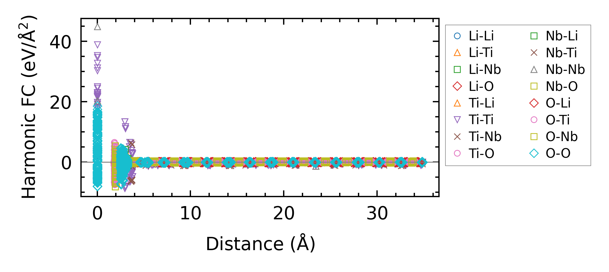
Force constants

../../_images/fig_fc22606.png

(a) Force constants w.r.t atomic distance

Summary

../../_images/fig_times4684.png

(a) Computation time