mp-767165/K2LiVS4/anharm

Harmonic properties

../../_images/fig_bandos_pr2786.png

(a) Phonon dispersion with participation ratio and DOS

../../_images/fig_thermo2786.png

(b) Thermodynamic properties

Grüneisen parameters

../../_images/fig_gru_all1382.png

(a) Grüneisen parameters

../../_images/fig_gruneisen1382.png

(b) Phonon dispersion with Grüneisen parameters

Thermal conductivity

3-phonon (LASSO) — q-mesh: 10x10x4, supercell: 1x2x1

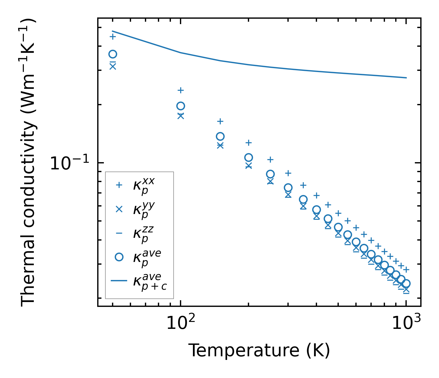
../../_images/fig_kappa2665.png

(a) Temperature-dependent lattice thermal conductivity

../../_images/fig_kappa_vs_grain_size1398.png

(b) Peierls lattice thermal conductivity w.r.t grain size

Phonon lifetime and scattering rates

../../_images/fig_lifetime1372.png

(a) Phonon lifetime due to phonon-phonon scattering

../../_images/fig_scat_rates1371.png

(b) Phonon scattering rates

Cumulative and spectral thermal conductivity

../../_images/fig_cumu_frequency1372.png

(a) Spectral and cumulative thermal conductivity w.r.t frequency

../../_images/fig_cumu_mfp1372.png

(b) Spectral and cumulative thermal conductivity w.r.t MFP

Force constants

../../_images/fig_fc22607.png

(a) Force constants w.r.t atomic distance

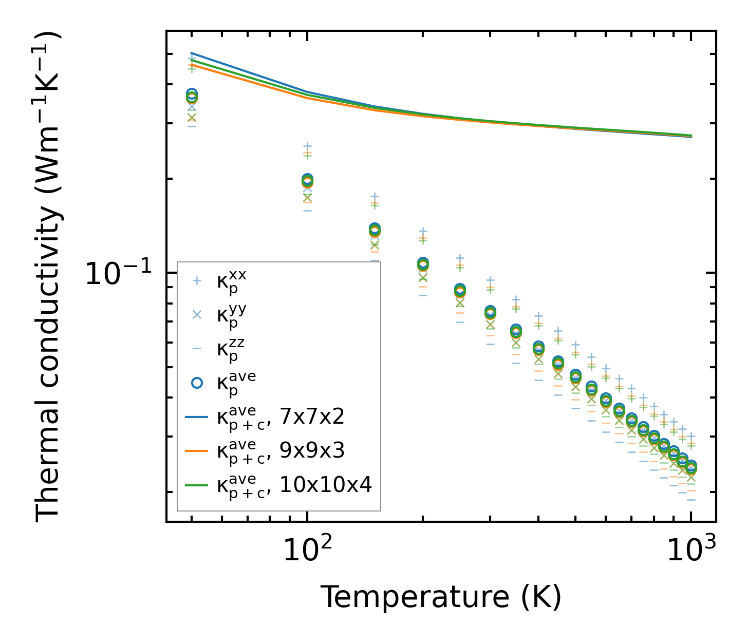
Summary

../../_images/fig_kappa2666.png

(a) Temperature-dependent lattice thermal conductivity

../../_images/fig_times4685.png

(b) Computation time