mp-740759/Yb19Mg8H54/anharm

Harmonic properties

../../_images/fig_bandos_pr4123.png

(a) Phonon dispersion with participation ratio and DOS

../../_images/fig_bandos5581.png

(b) Phonon dispersion and DOS

../../_images/fig_thermo4123.png

(c) Thermodynamic properties

Grüneisen parameters

../../_images/fig_gru_all1821.png

(a) Grüneisen parameters

../../_images/fig_gruneisen1821.png

(b) Phonon dispersion with Grüneisen parameters

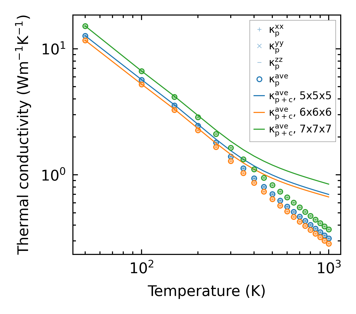
Thermal conductivity

3-phonon (LASSO) — q-mesh: 7x7x7, supercell: 1x1x1

../../_images/fig_kappa3495.png

(a) Temperature-dependent lattice thermal conductivity

../../_images/fig_kappa_vs_grain_size1849.png

(b) Peierls lattice thermal conductivity w.r.t grain size

Phonon lifetime and scattering rates

../../_images/fig_lifetime1811.png

(a) Phonon lifetime due to phonon-phonon scattering

../../_images/fig_scat_rates1810.png

(b) Phonon scattering rates

Cumulative and spectral thermal conductivity

../../_images/fig_cumu_frequency1811.png

(a) Spectral and cumulative thermal conductivity w.r.t frequency

../../_images/fig_cumu_mfp1811.png

(b) Spectral and cumulative thermal conductivity w.r.t MFP

Force constants

../../_images/fig_fc23936.png

(a) Force constants w.r.t atomic distance

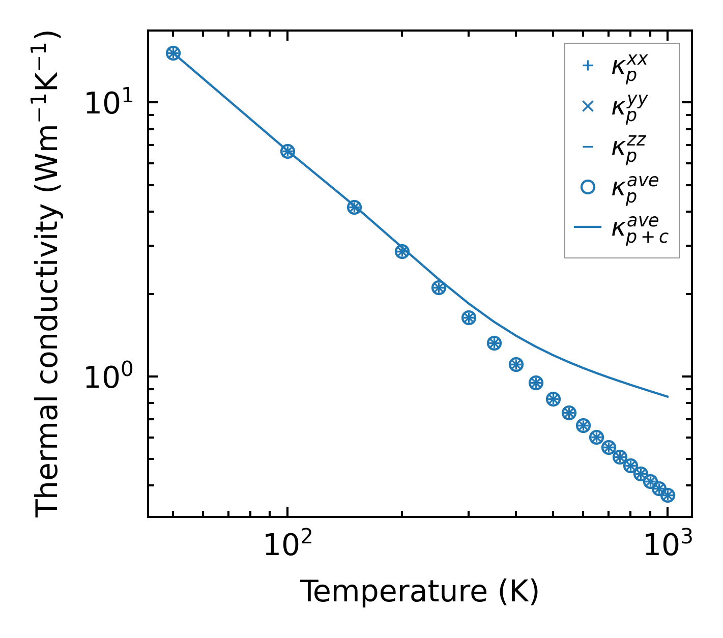
Summary

../../_images/fig_kappa3496.png

(a) Temperature-dependent lattice thermal conductivity

../../_images/fig_times7199.png

(b) Computation time