mp-740711/Cs3B6H12Se4Br/anharm

Equation of state

../../_images/fig_bm2039.png

(a) Equation of state

Harmonic properties

../../_images/fig_bandos_pr4119.png

(a) Phonon dispersion with participation ratio and DOS

../../_images/fig_bandos5567.png

(b) Phonon dispersion and DOS

../../_images/fig_thermo4119.png

(c) Thermodynamic properties

Grüneisen parameters

../../_images/fig_gru_all1819.png

(a) Grüneisen parameters

../../_images/fig_gruneisen1819.png

(b) Phonon dispersion with Grüneisen parameters

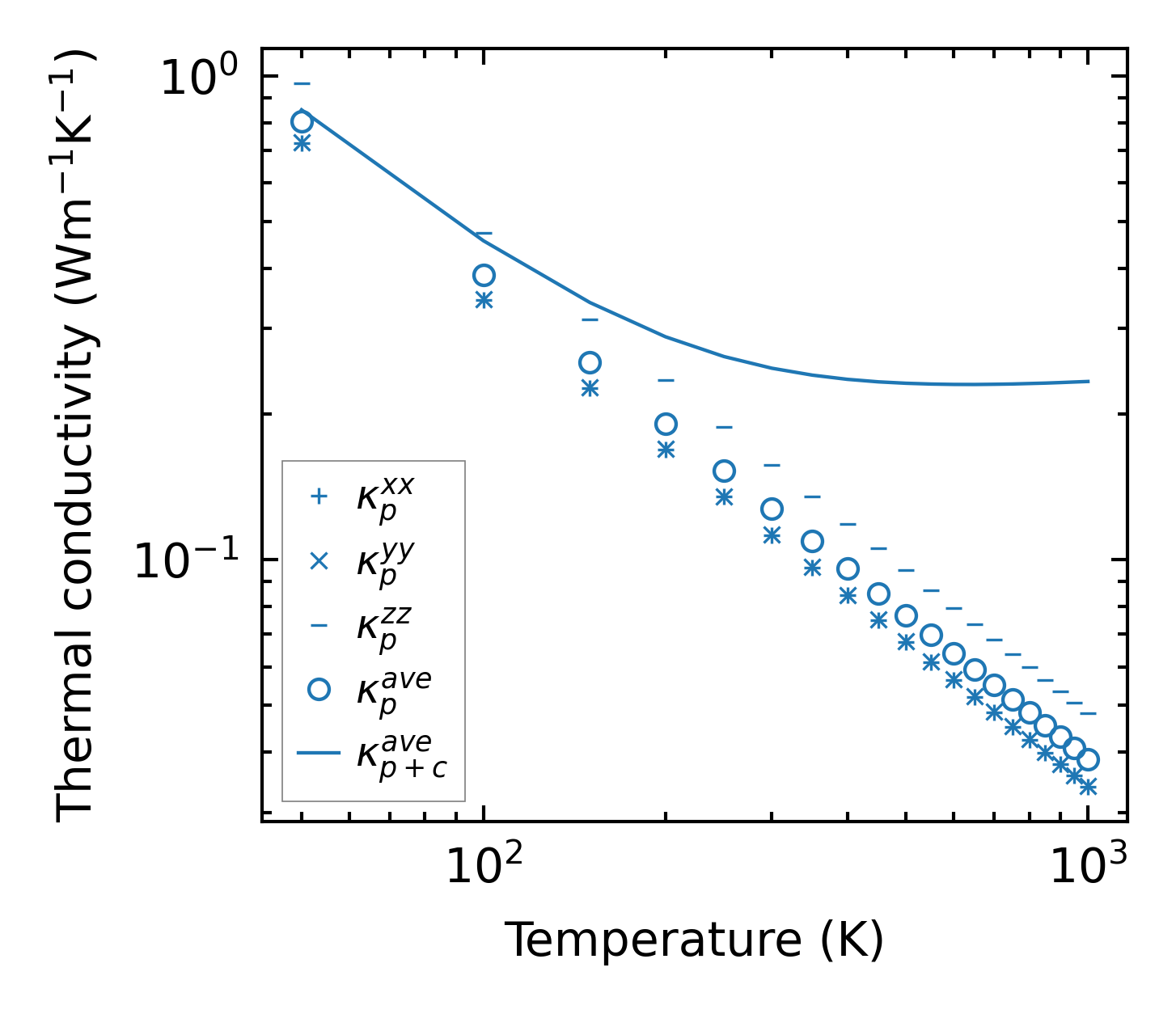
Thermal conductivity

3-phonon (LASSO), supercell 2x2x2 — q-mesh: 7x7x8, supercell: 2x2x2

../../_images/fig_kappa3492.png

(a) Temperature-dependent lattice thermal conductivity

../../_images/fig_kappa_vs_grain_size1847.png

(b) Peierls lattice thermal conductivity w.r.t grain size

Phonon lifetime and scattering rates

../../_images/fig_lifetime1809.png

(a) Phonon lifetime due to phonon-phonon scattering

../../_images/fig_scat_rates1808.png

(b) Phonon scattering rates

Cumulative and spectral thermal conductivity

../../_images/fig_cumu_frequency1809.png

(a) Spectral and cumulative thermal conductivity w.r.t frequency

../../_images/fig_cumu_mfp1809.png

(b) Spectral and cumulative thermal conductivity w.r.t MFP

Force constants

../../_images/fig_fc23932.png

(a) Force constants w.r.t atomic distance

Summary

../../_images/fig_times7184.png

(a) Computation time