mp-722910-2/K2B6H5NO2/anharm

Harmonic properties

../../_images/fig_bandos_pr4174.png

(a) Phonon dispersion with participation ratio and DOS

../../_images/fig_thermo4174.png

(b) Thermodynamic properties

Grüneisen parameters

../../_images/fig_gru_all1830.png

(a) Grüneisen parameters

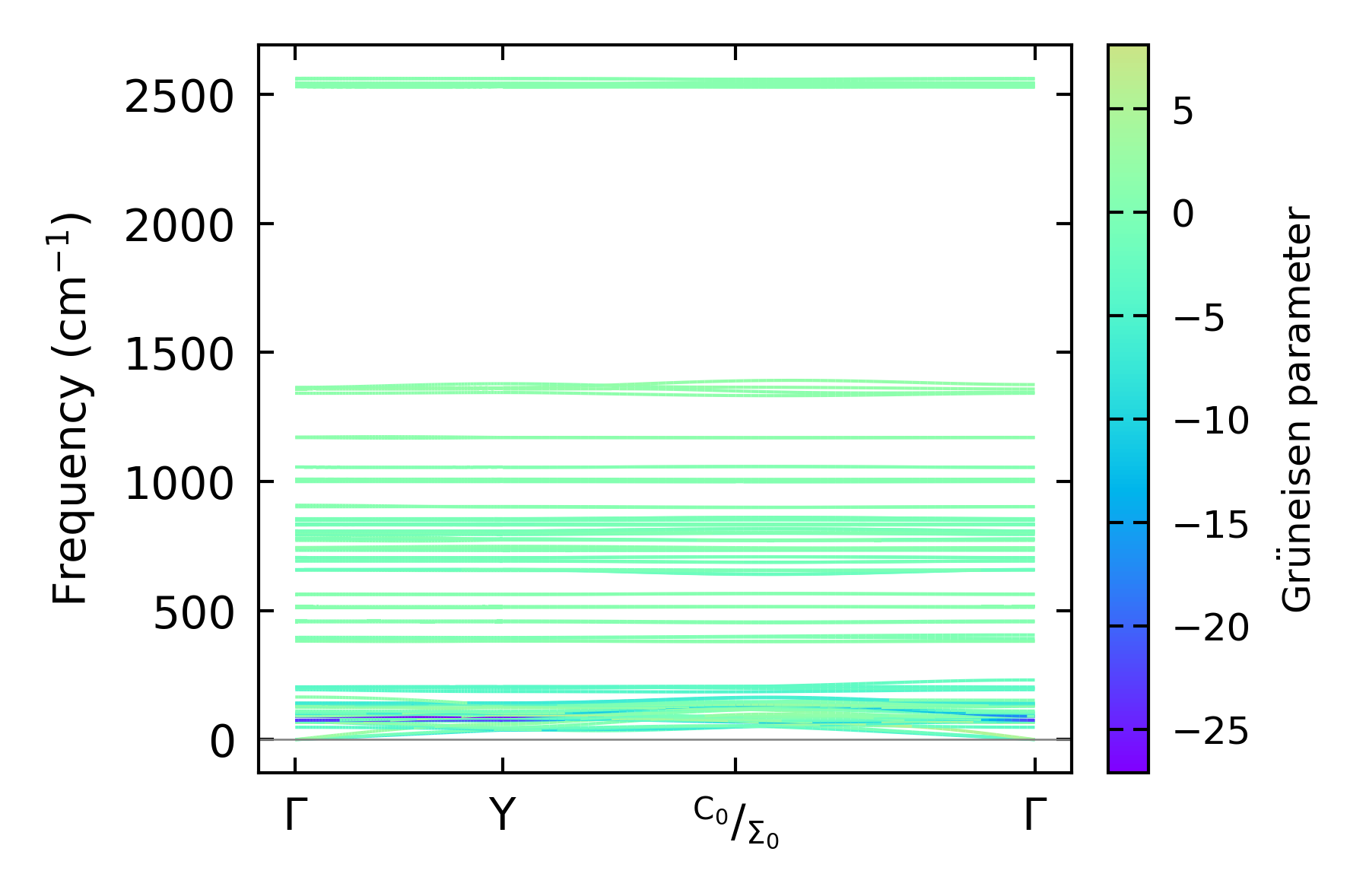
../../_images/fig_gruneisen1830.png

(b) Phonon dispersion with Grüneisen parameters

Thermal conductivity

3-phonon (LASSO) — q-mesh: 9x9x10, supercell: 2x1x1

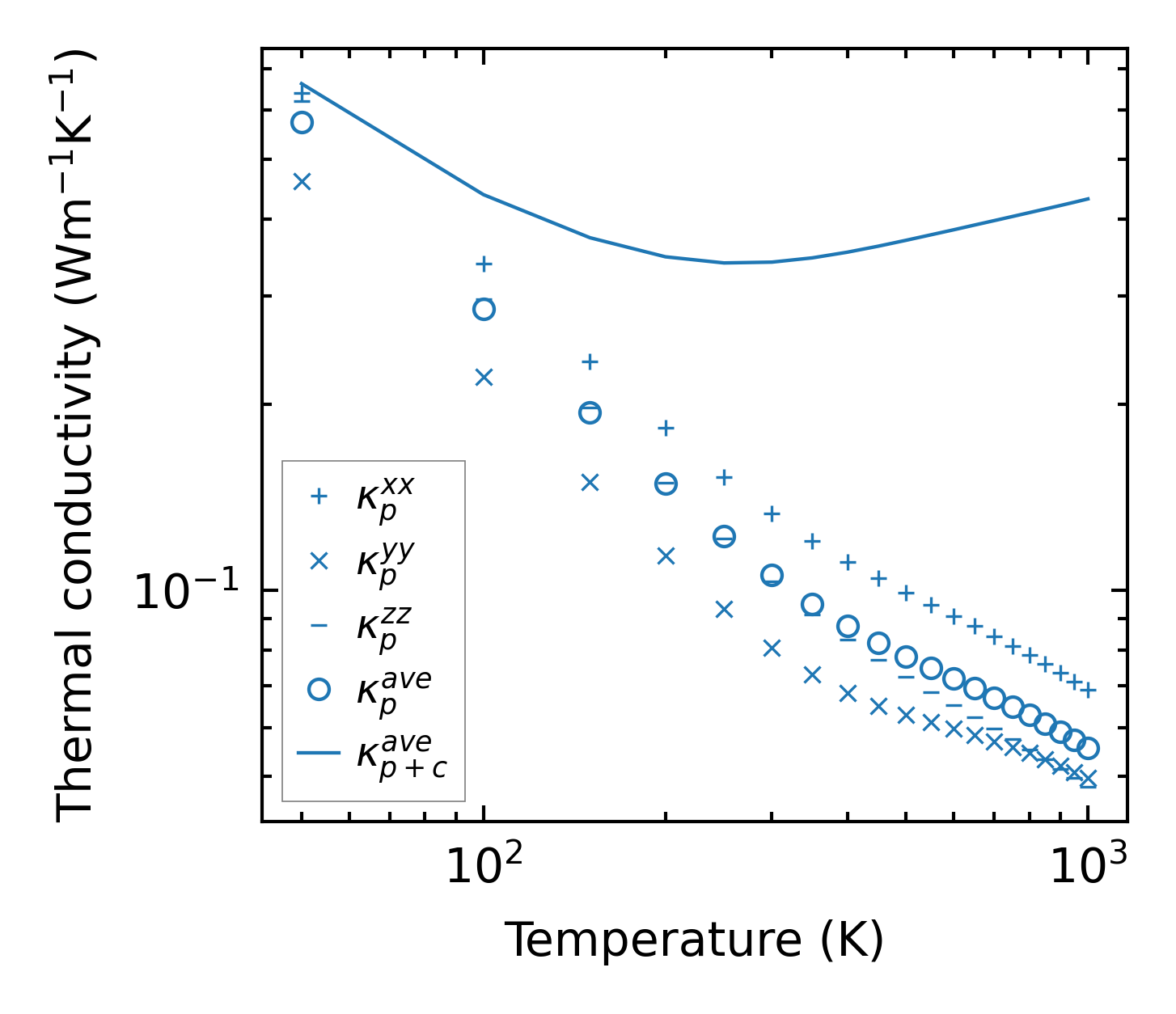
../../_images/fig_kappa3509.png

(a) Temperature-dependent lattice thermal conductivity

../../_images/fig_kappa_vs_grain_size1858.png

(b) Peierls lattice thermal conductivity w.r.t grain size

Phonon lifetime and scattering rates

../../_images/fig_lifetime1820.png

(a) Phonon lifetime due to phonon-phonon scattering

../../_images/fig_scat_rates1819.png

(b) Phonon scattering rates

Cumulative and spectral thermal conductivity

../../_images/fig_cumu_frequency1820.png

(a) Spectral and cumulative thermal conductivity w.r.t frequency

../../_images/fig_cumu_mfp1820.png

(b) Spectral and cumulative thermal conductivity w.r.t MFP

Force constants

../../_images/fig_fc23987.png

(a) Force constants w.r.t atomic distance

Summary

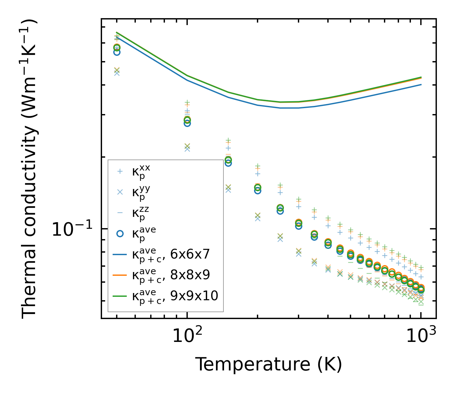
../../_images/fig_kappa3510.png

(a) Temperature-dependent lattice thermal conductivity

../../_images/fig_times7334.png

(b) Computation time