mp-722272/Li2H12C3SN6O7/harm

Equation of state

../../_images/fig_bm2068.png

(a) Equation of state

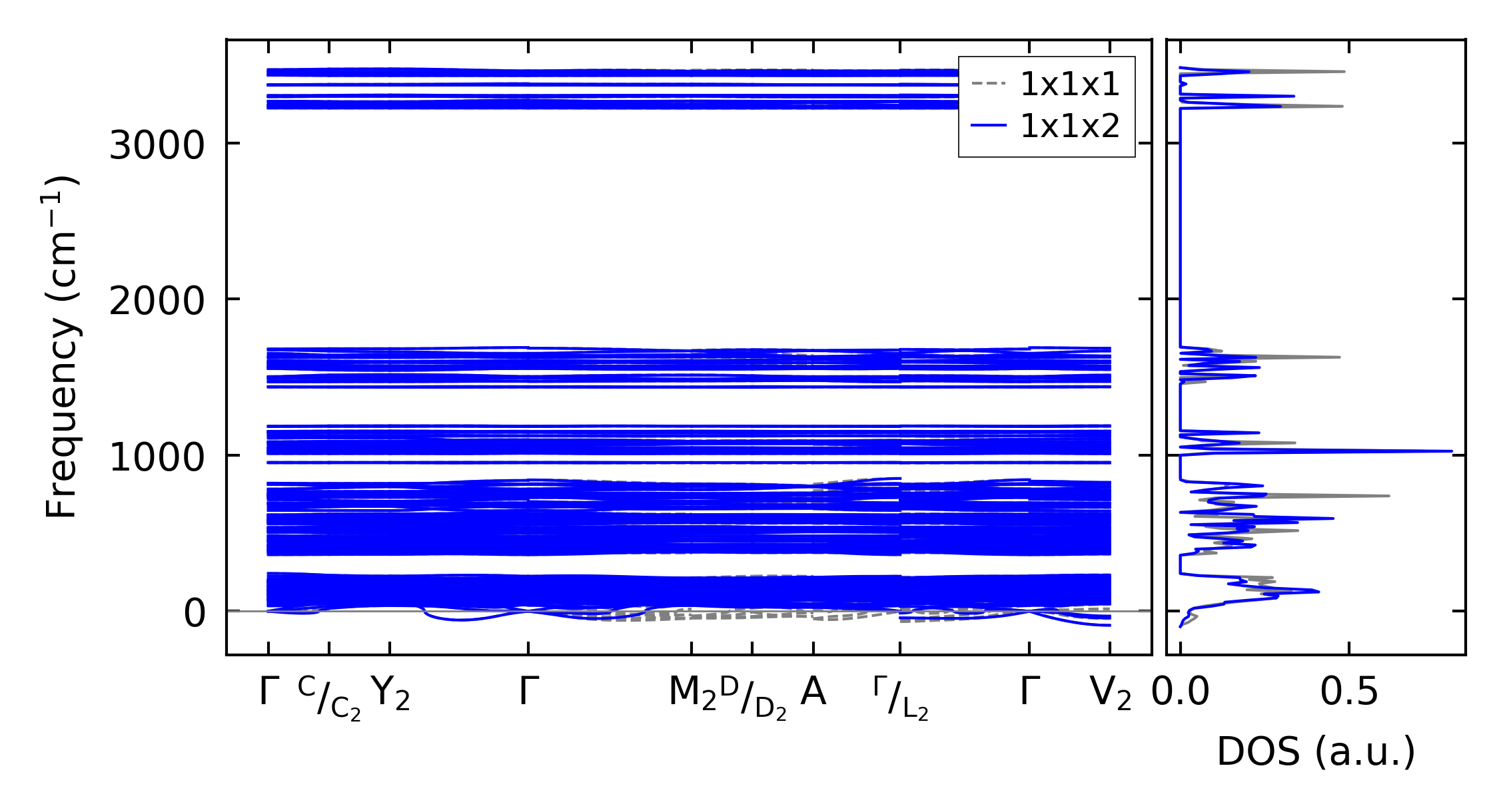
Harmonic properties

../../_images/fig_bandos_pr4158.png

(a) Phonon dispersion with participation ratio and DOS

../../_images/fig_bandos5667.png

(b) Phonon dispersion and DOS

../../_images/fig_thermo4158.png

(c) Thermodynamic properties

Force constants

../../_images/fig_fc23971.png

(a) Force constants w.r.t atomic distance

Summary

../../_images/fig_times7288.png

(a) Computation time