mp-722272-2/Li2H12C3SN6O7/harm

Harmonic properties

../../_images/fig_bandos_pr4159.png

(a) Phonon dispersion with participation ratio and DOS

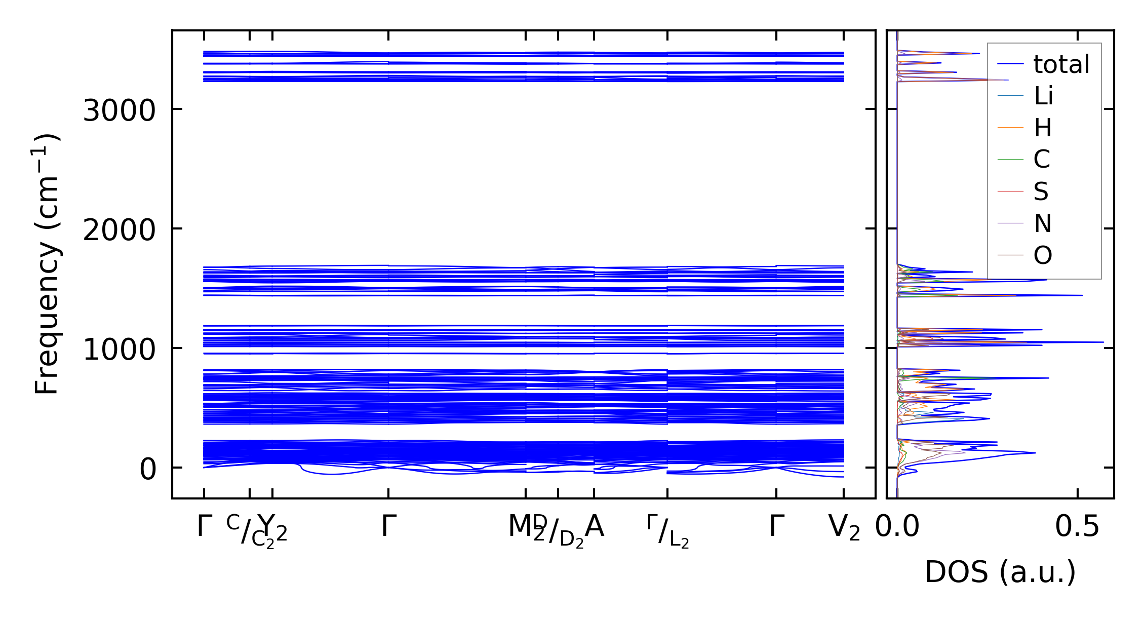
../../_images/fig_bandos5668.png

(b) Phonon dispersion and DOS

../../_images/fig_thermo4159.png

(c) Thermodynamic properties

Force constants

../../_images/fig_fc23972.png

(a) Force constants w.r.t atomic distance

Summary

../../_images/fig_times7289.png

(a) Computation time