mp-720847/BH2NCl2/anharm

Harmonic properties

../../_images/fig_bandos_pr4313.png

(a) Phonon dispersion with participation ratio and DOS

../../_images/fig_thermo4313.png

(b) Thermodynamic properties

Grüneisen parameters

../../_images/fig_gru_all1851.png

(a) Grüneisen parameters

../../_images/fig_gruneisen1851.png

(b) Phonon dispersion with Grüneisen parameters

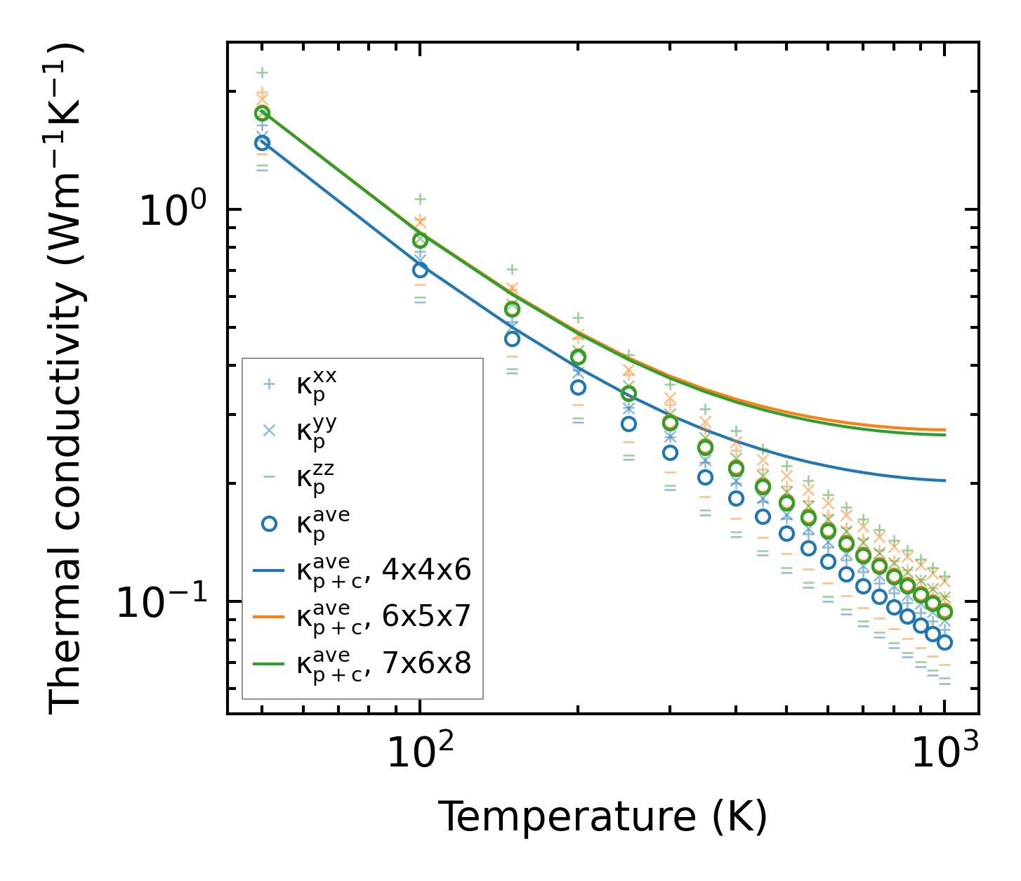
Thermal conductivity

3-phonon (LASSO) — q-mesh: 7x6x8, supercell: 1x1x2

../../_images/fig_kappa3546.png

(a) Temperature-dependent lattice thermal conductivity

../../_images/fig_kappa_vs_grain_size1879.png

(b) Peierls lattice thermal conductivity w.r.t grain size

Phonon lifetime and scattering rates

../../_images/fig_lifetime1841.png

(a) Phonon lifetime due to phonon-phonon scattering

../../_images/fig_scat_rates1840.png

(b) Phonon scattering rates

Cumulative and spectral thermal conductivity

../../_images/fig_cumu_frequency1841.png

(a) Spectral and cumulative thermal conductivity w.r.t frequency

../../_images/fig_cumu_mfp1841.png

(b) Spectral and cumulative thermal conductivity w.r.t MFP

Force constants

../../_images/fig_fc24126.png

(a) Force constants w.r.t atomic distance

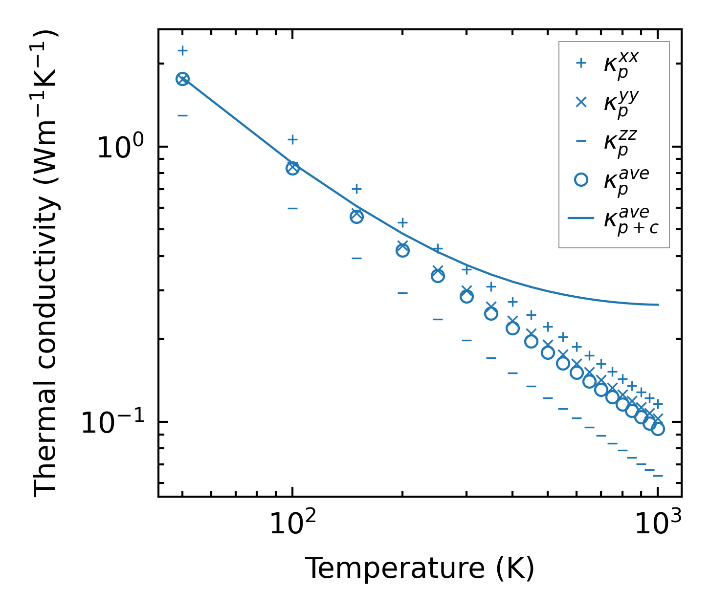
Summary

../../_images/fig_kappa3547.png

(a) Temperature-dependent lattice thermal conductivity

../../_images/fig_times7706.png

(b) Computation time