mp-720583/Na3B3H2O7/anharm

Equation of state

../../_images/fig_bm2164.png

(a) Equation of state

Harmonic properties

../../_images/fig_bandos_pr4300.png

(a) Phonon dispersion with participation ratio and DOS

../../_images/fig_thermo4300.png

(b) Thermodynamic properties

Grüneisen parameters

../../_images/fig_gru_all1849.png

(a) Grüneisen parameters

../../_images/fig_gruneisen1849.png

(b) Phonon dispersion with Grüneisen parameters

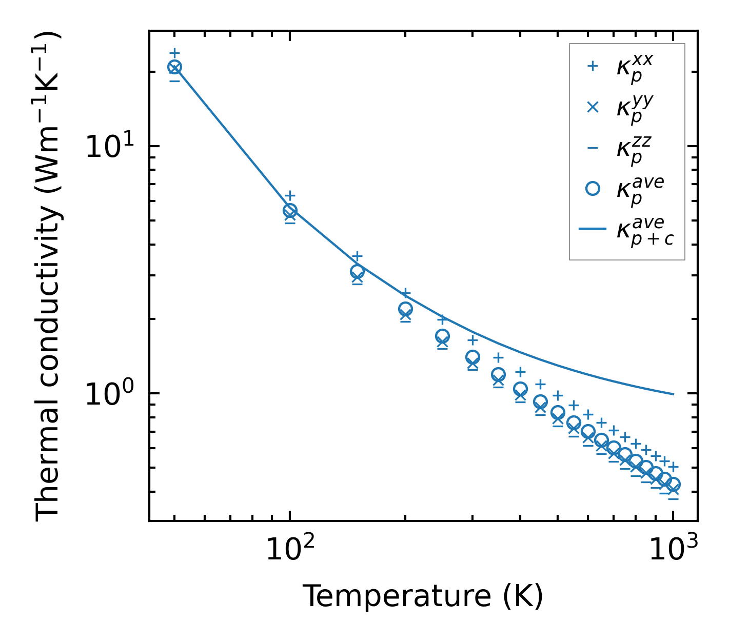
Thermal conductivity

3-phonon (LASSO) — q-mesh: 8x10x7, supercell: 1x2x1

../../_images/fig_kappa3543.png

(a) Temperature-dependent lattice thermal conductivity

../../_images/fig_kappa_vs_grain_size1877.png

(b) Peierls lattice thermal conductivity w.r.t grain size

Phonon lifetime and scattering rates

../../_images/fig_lifetime1839.png

(a) Phonon lifetime due to phonon-phonon scattering

../../_images/fig_scat_rates1838.png

(b) Phonon scattering rates

Cumulative and spectral thermal conductivity

../../_images/fig_cumu_frequency1839.png

(a) Spectral and cumulative thermal conductivity w.r.t frequency

../../_images/fig_cumu_mfp1839.png

(b) Spectral and cumulative thermal conductivity w.r.t MFP

Force constants

../../_images/fig_fc24113.png

(a) Force constants w.r.t atomic distance

Summary

../../_images/fig_kappa3544.png

(a) Temperature-dependent lattice thermal conductivity

../../_images/fig_times7678.png

(b) Computation time